最新更新 :
05/12/2025
Infostab
薬剤一覧
まとめ一覧
互換性の検索
Yサイト対応表
引用文献
研究チーム
valistab
ポスター
接続
スポンサー
作成者
ユーザーガイド
ニュースレター
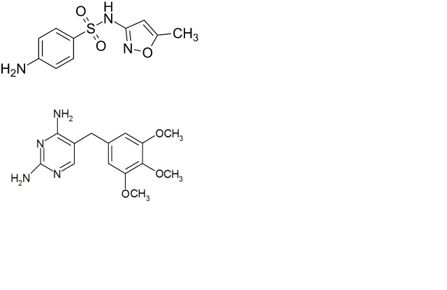
Co-trimoxazole
化学構造
調剤時の安定性 : Co-trimoxazole
2000/400 mg
® = ?
Oral Mix®
>> 50 mL
25°C
14
4638
2000/400 mg
® = ?
Oral Mix SF®
>> 50 mL
25°C
14
4638
2000/400 mg
® = ?
Oral Mix®
>> 50 mL
5°C
90
4638
2000/400 mg
® = ?
Oral Mix SF®
>> 50 mL
5°C
14
4638
100/20 mg
® = ?
Oral Mix®
>> 2,5 mL
25°C
14
4638
100/20 mg
® = ?
Oral Mix SF®
>> 2,5 mL
25°C
7
4638
100/20 mg
® = ?
Oral Mix®
>> 2,5 mL
5°C
90
4638
100/20 mg
® = ?
Oral Mix SF®
>> 2,5 mL
5°C
90
4638
Mentions Légales