最新更新 :
03/02/2026
Infostab
药品清单
简要表
搜索兼容性
Y 站点兼容性表
引用文献
研究小組
valistab
海报
鏈接
贊助商
作者
使用指南
时讯
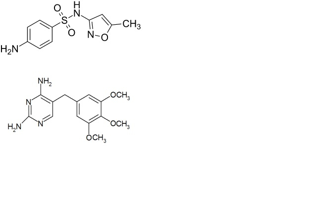
Co-trimoxazole
化学式
制剂的稳定性 : Co-trimoxazole
2000/400 mg
® = ?
Oral Mix®
>> 50 mL
25°C
14
4638
2000/400 mg
® = ?
Oral Mix SF®
>> 50 mL
25°C
14
4638
2000/400 mg
® = ?
Oral Mix®
>> 50 mL
5°C
90
4638
2000/400 mg
® = ?
Oral Mix SF®
>> 50 mL
5°C
14
4638
100/20 mg
® = ?
Oral Mix®
>> 2,5 mL
25°C
14
4638
100/20 mg
® = ?
Oral Mix SF®
>> 2,5 mL
25°C
7
4638
100/20 mg
® = ?
Oral Mix®
>> 2,5 mL
5°C
90
4638
100/20 mg
® = ?
Oral Mix SF®
>> 2,5 mL
5°C
90
4638
Mentions Légales