Senaste uppdateringen :
18/03/2026
Antibiotikum   Co-trimoxazole  
Oral lösning
injektion
Stabilitet av läkemedel Stabilitet i blandningar Faktorer som påverkar stabiliteten Kompatibilitet Hänvisningar pdf
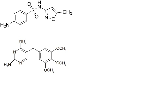
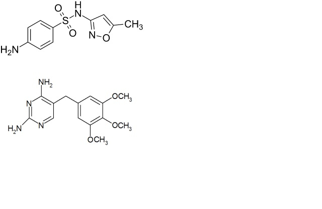
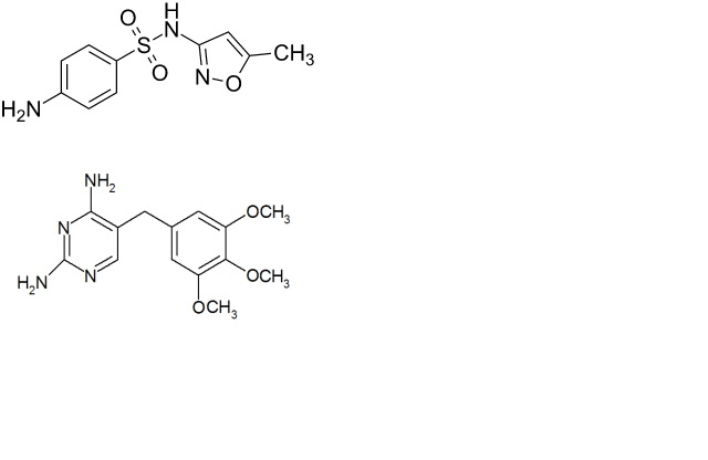
   Molekylstruktur  

Oral lösning
Stabilitet av läkemedel   Oral lösning   Stabilitet av läkemedel : Co-trimoxazole     
Behållare Origine Hjälpämne Temperatur Förvaring Stabilitets varaktighet Hänvisningar
Plastflaska Pulver 2000/400 mg
® = ?
Oral Mix® >> 50 mL
25°C Skyddas från ljus
14 Dag
4638

Plastflaska Pulver 2000/400 mg
® = ?
Oral Mix SF® >> 50 mL
25°C Skyddas från ljus
14 Dag
4638

Plastflaska Pulver 2000/400 mg
® = ?
Oral Mix® >> 50 mL
5°C Skyddas från ljus
90 Dag
4638

Plastflaska Pulver 2000/400 mg
® = ?
Oral Mix SF® >> 50 mL
5°C Skyddas från ljus
14 Dag
4638

Spruta Pulver 100/20 mg
® = ?
Oral Mix® >> 2,5 mL
25°C Skyddas från ljus
14 Dag
4638

Spruta Pulver 100/20 mg
® = ?
Oral Mix SF® >> 2,5 mL
25°C Skyddas från ljus
7 Dag
4638

Spruta Pulver 100/20 mg
® = ?
Oral Mix® >> 2,5 mL
5°C Skyddas från ljus
90 Dag
4638

Spruta Pulver 100/20 mg
® = ?
Oral Mix SF® >> 2,5 mL
5°C Skyddas från ljus
90 Dag
4638


  Mentions Légales