Последнее обновление :
18/03/2026
Антибиотик   Co-trimoxazole  
Раствор для перорального приёма
Инъекция
Стабильность фармацевтических препаратов Стабильность смесей Факторы, которые влияют на стабильность Совместимость Библиография pdf
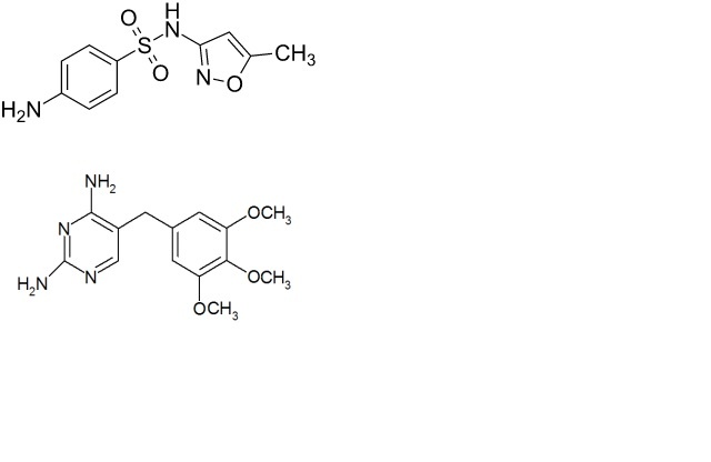
   Химическая структура  

Раствор для перорального приёма
Стабильность фармацевтических препаратов   Раствор для перорального приёма   Стабильность фармацевтических препаратов : Co-trimoxazole     
Упаковка Origine Наполнитель Температура Хранение Продолжительность стабильности Ссылки
Пластиковая бутылка Порошок 2000/400 mg
® = ?
Oral Mix® >> 50 mL
25°C Защищён от света
14 День
4638

Пластиковая бутылка Порошок 2000/400 mg
® = ?
Oral Mix SF® >> 50 mL
25°C Защищён от света
14 День
4638

Пластиковая бутылка Порошок 2000/400 mg
® = ?
Oral Mix® >> 50 mL
5°C Защищён от света
90 День
4638

Пластиковая бутылка Порошок 2000/400 mg
® = ?
Oral Mix SF® >> 50 mL
5°C Защищён от света
14 День
4638

Шприц Порошок 100/20 mg
® = ?
Oral Mix® >> 2,5 mL
25°C Защищён от света
14 День
4638

Шприц Порошок 100/20 mg
® = ?
Oral Mix SF® >> 2,5 mL
25°C Защищён от света
7 День
4638

Шприц Порошок 100/20 mg
® = ?
Oral Mix® >> 2,5 mL
5°C Защищён от света
90 День
4638

Шприц Порошок 100/20 mg
® = ?
Oral Mix SF® >> 2,5 mL
5°C Защищён от света
90 День
4638


  Mentions Légales