Última actualización :
31/03/2026
Antiarrítmico   Propafenone Hydrochloride  
Solución Oral
Inyectables
La estabilidad de las preparaciones farmacéuticas Estabilidad en mezcla Factores que influyen sobre la estabilidad Compatibilidades Bibliografía pdf
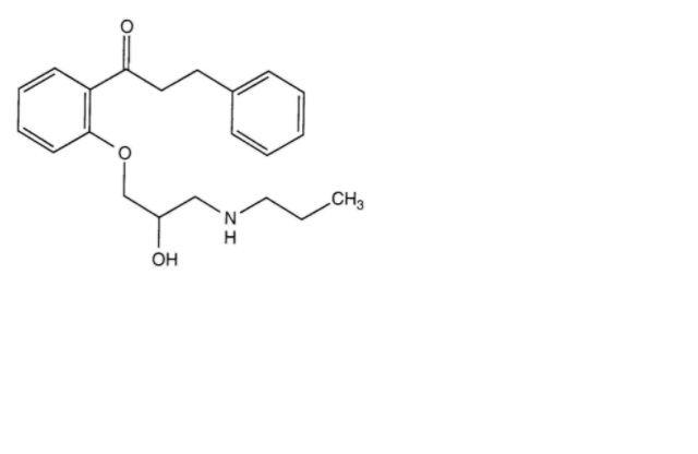
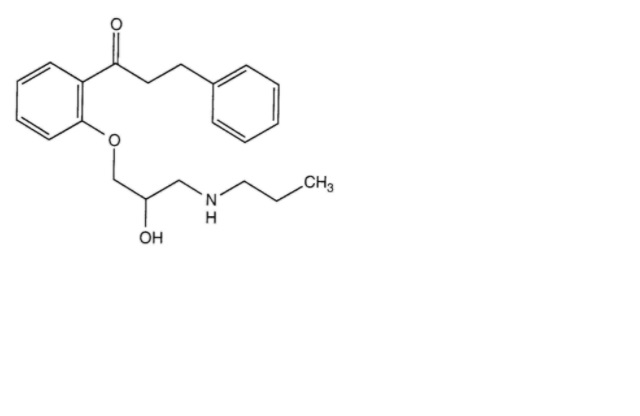
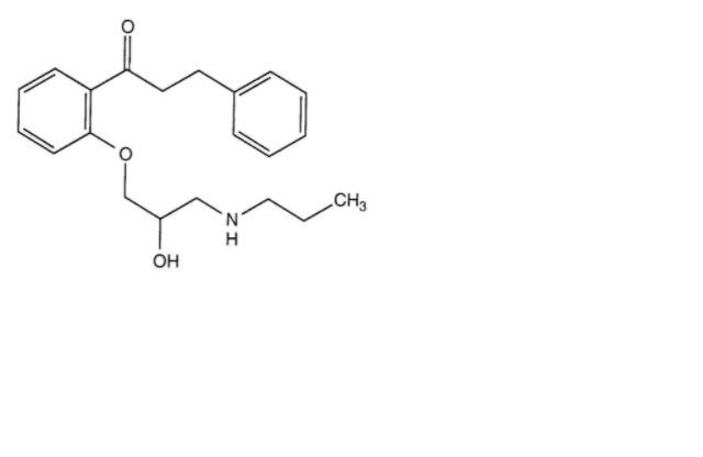
   Estructura química  

Solución Oral
Compatibilidades   Solución Oral   Compatibilidades : Propafenone Hydrochloride              
Ausencia de datos

  Mentions Légales