Ultimele actualizari :
31/03/2026
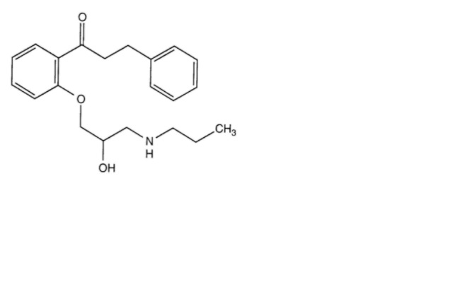
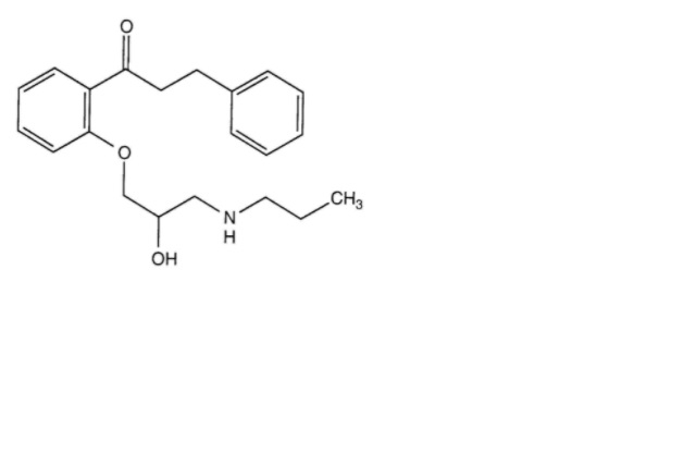
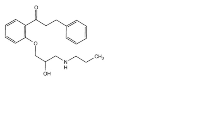
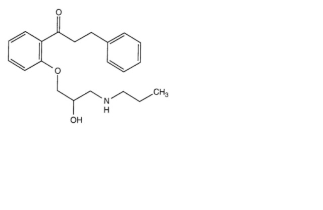
Antiaritmic   Propafenone Hydrochloride  
Soluţie orală
Injectabil
Stabilitatea preparatelor farmaceutice Stabilitatea in amestec Factorii care influenteaza stabilitatea Compatibilitate Bibliografie pdf
   Formula chimica  

Soluţie orală
Compatibilitate   Soluţie orală   Compatibilitate : Propafenone Hydrochloride              
Absenta de date

  Mentions Légales