viimane versioon :
31/03/2026
antiarütmikum   Propafenone Hydrochloride  
suukaudne lahus
Süsteravim
Stabiilsust ravimpreparaadid Stabiilsust mõjutavad tegurid stabiilsust mõjutavad faktorid Sobimatus Viited pdf
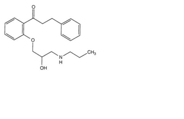
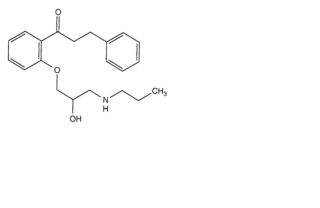
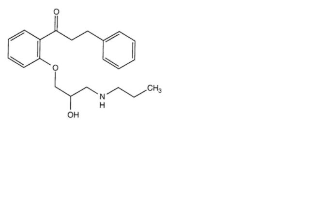
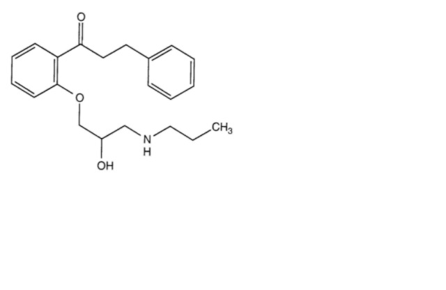
   keemiline struktuur  

suukaudne lahus
Sobimatus   suukaudne lahus   Sobimatus : Propafenone Hydrochloride              
andmed puuduvad

  Mentions Légales