Pēdējā atjaunošana :
31/03/2026
Antiaritmiķis   Propafenone Hydrochloride  
Orāls šķīdums
Injekcija
Stabilitāte farmaceitisko preparātu Maisījuma stabilitāte Stabilitāti ietekmējoši faktori Saderība Literatūras saraksts pdf
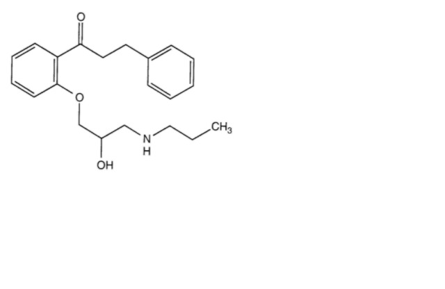
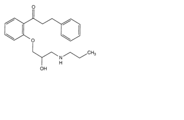
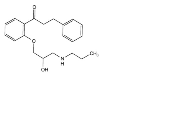
   Ķīmiskā uzbūve   

Orāls šķīdums
Saderība   Orāls šķīdums   Saderība : Propafenone Hydrochloride              
Nav datu

  Mentions Légales