Ostatnia aktualizacja :
31/03/2026
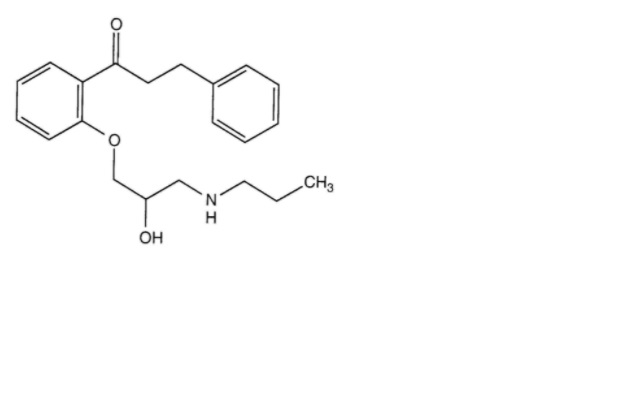
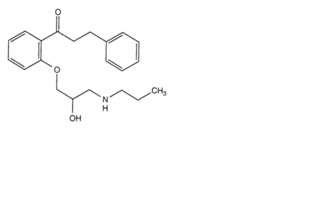
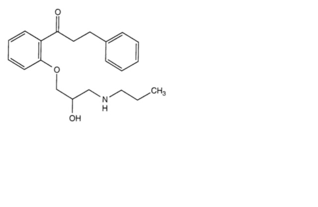
Antyarytmik   Propafenone Hydrochloride  
Roztwór doustny
Injekcje
Stabilność preparatów farmaceutycznych Trwałość w mieszaninie Czynnik wpływający na trwałość Zgodność Bibliografia pdf
   Struktura chemiczna  

Roztwór doustny
Zgodność   Roztwór doustny   Zgodność : Propafenone Hydrochloride              
Brak danych

  Mentions Légales