Последно актуализиране :
31/03/2026
Антиаритмик   Propafenone Hydrochloride  
Орален разтвор
Инжекция/Инжекционен
Стабилност на лекарствени препарати Стабилност на смеси Фактори, повлияващи стабилността Съвместимост Библиография Pdf
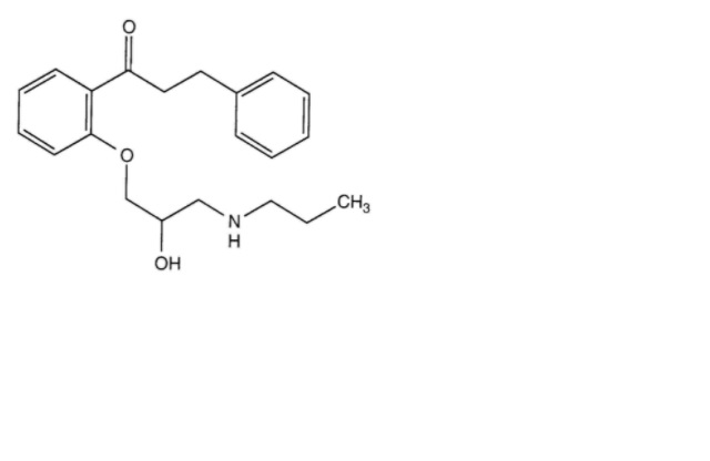
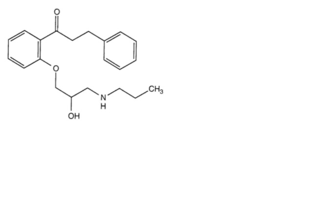
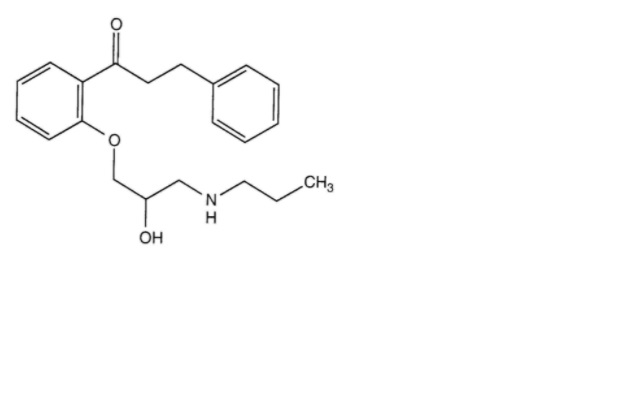
   Химична структура  

Орален разтвор
Съвместимост   Орален разтвор   Съвместимост : Propafenone Hydrochloride              
Няма данни

  Mentions Légales