Senaste uppdateringen :
18/03/2026
Vitamin   Phytomenadione  
injektion
Oral lösning
Lösningars stabilitet Stabilitet i blandningar Faktorer som påverkar stabiliteten Kompatibilitet Administreringssätt Hänvisningar pdf
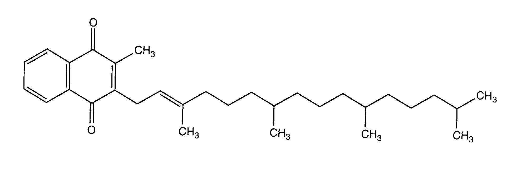
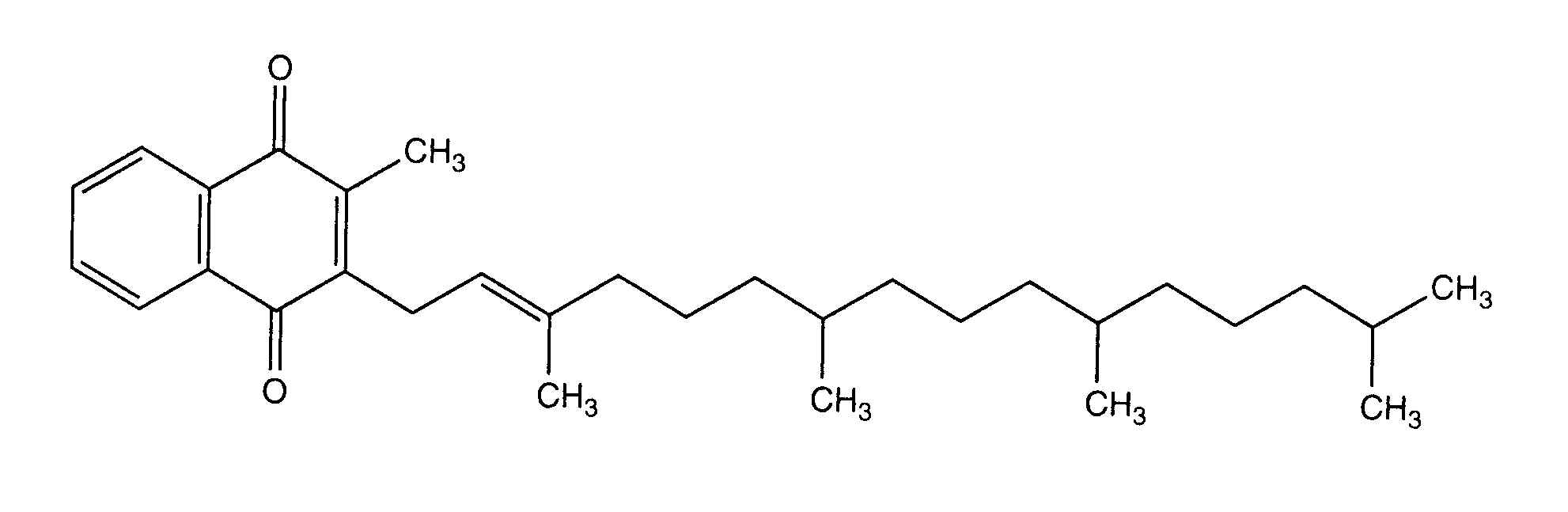
   Molekylstruktur  

Varunamn   Varunamn     

Angivna handelsnamn på läkemedel är enbart vägledande då formulering inklusive hjälpämnen kan variera mellan länder och tillverkare

Adcokion Egypten
Amidalak Mexiko
Amri-K Egypten
Aquamephyton Förenta Staterna
Epikavit Egypten
Haemokion Egypten
Hyvit Brasilien
Kanakion Brasilien, Portugal
Kavit Brasilien
Kenadion Indien
Kisan Malaysia
Konakion Argentina, Belgien, Chile, Colombia, Danmark, Ecuador, Egypten, Finland, Förenade Arabemiraten, Grekland, Irland, Island, Italien, Kroatien, Luxemburg, Marocko, Nederländerna, Norge, nya Zeeland, Österrike, Polen, Saudi-Arabien, Schweiz, Spanien, Storbritannien, Sverige, Turkiet, Tyskland, Ungern
Oskavit Iran
Rupek Argentina
Vikadic Iran
Vitatron Brasilien
Kompatibilitet   injektion   Kompatibilitet : Phytomenadione              
Den här skärmen visar kompatibiliteten eller inkompatibiliteten med, i detta fall, typen av inkompatibilitet (utfällning, färgförändring, modifiering av en emulsion, etc.). De kompatibiliteter som visas här är oftast endast fysiska, varvid den kemiska stabiliteten för varje molekyl sällan utvärderas. Utvärderingen av dessa blandningar studerades för att överväga möjligheten för Y-platsadministrering till patienten. Dessa data kan inte användas för att göra blandningar i förväg i påsar eller sprutor. Denna typ av information finns på skärmen "Stabilitet i blandning".
Substans Lösningsmedel Hänvisningar

  Mentions Légales