Pēdējā atjaunošana :
18/03/2026
Vitamīns   Phytomenadione  
Injekcija
Orāls šķīdums
Šķīduma stabilitāte Maisījuma stabilitāte Stabilitāti ietekmējoši faktori Saderība Levadīšanas veids Literatūras saraksts pdf
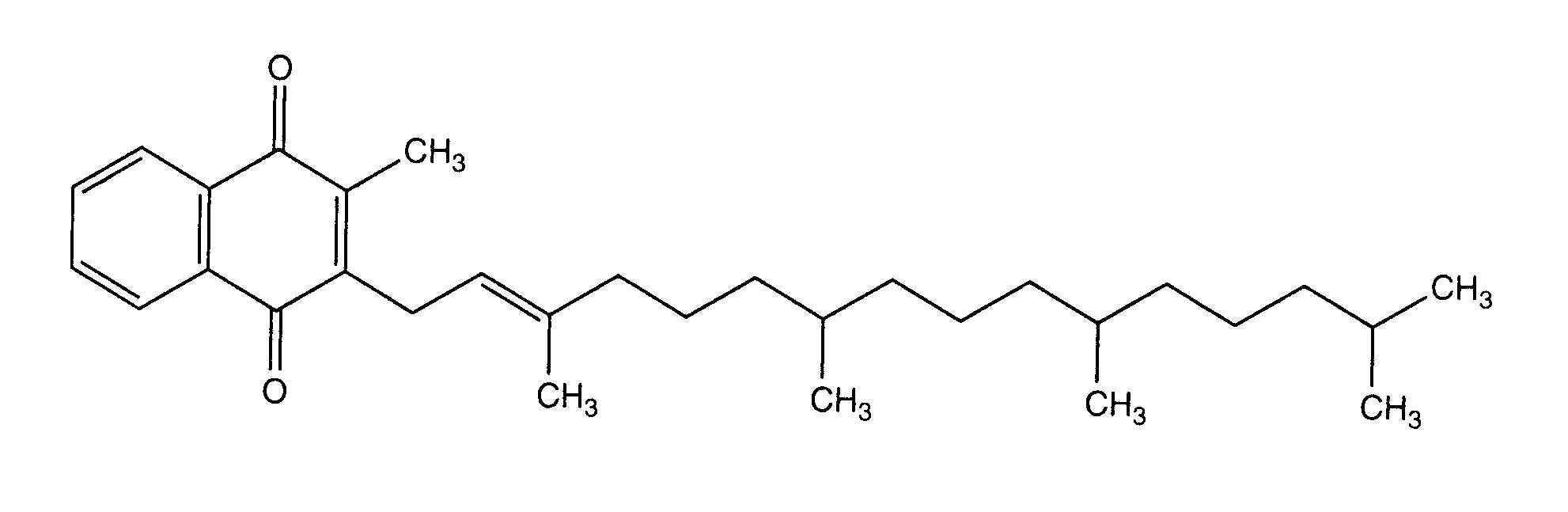
   Ķīmiskā uzbūve   

Oriģinālais nosaukums   Oriģinālais nosaukums     

Tirdzniecības nosaukumi ir apzīmējoši un palīgvielas var atšķirties dažādām valstīm un laboratorijām

Adcokion Ēģipte
Amidalak Meksika
Amri-K Ēģipte
Aquamephyton Amerikas Savienotās Valstis
Epikavit Ēģipte
Haemokion Ēģipte
Hyvit Brazīlija
Kanakion Brazīlija, Portugāle
Kavit Brazīlija
Kenadion Indija
Kisan Malaizija
Konakion Apvienotie Arābu Emirāti, Argentīna, Austrija, Beļģija, Čīle, Dānija, Ēģipte, Ekvadora, Grieķija, Holande, Horvātija, Īrija, Islande, Itālija, Jaunzēlande, Kolumbija, Lielbritānija, Luksemburga, Maroka, Norvēģija, Polija, Saūda Arābija, Somija, Spānija, Šveice, Turcija, Ungārija, Vācija, Zviedrija
Oskavit Irāna
Rupek Argentīna
Vikadic Irāna
Vitatron Brazīlija
Literatūras saraksts   Injekcija   Literatūras saraksts : Phytomenadione  
tips publicēšana
397 Žurnāls Fong PA, Ward J.
Visual compatibility of intravenous famotidine with selected drugs.
Am J Hosp Pharm 1989 ; 46: 125-126.
951 Žurnāls Ho PC, Wong VK.
Influence of DL methionine and sodium metasulphite on the photostability of vitamin K1.
PDA J Pharm Sci Technol 1998 ; 52: 129-133.
1200 Žurnāls Chaudry IA, Bruey KP, Hurlburt LE, Oden EM.
Compatibility of netilmycin sulfate injection with commonly used intravenous injections and additives.
Am J Hosp Pharm 1981 ; 38: 1737-1742.
1201 Žurnāls Yuhas EM, Lofton FT, Rosenberg HA, Mayron D, Baldinus JG.
Cimetidine hydrochloride compatibility III: Room temperature stability in drug admixtures.
Am J Hosp Pharm 1981 ; 38: 1919-1922.
2231 Žurnāls de Jongh R, Hens R, Basma V, mouton JW, Tulkens PM, Carryn S.
Continuous versus intermittent infusion of temocillin, a directed spectrum penicillin for intensive care patients with nosocomial pneumonia: stability, compatibility, population pharmacokinetic studies and breakpoint selection.
J Antimicrob Chemother 2008 ; 61, 2: 382-388.
3128 Laboratorija Mitomycine (Amétycine®) - Résumé Caractéristiques du Produit
Prostrakan 2013
3372 Žurnāls Hanci V, Ali Kiraz H, Ömür D, Ekin S, Uyan B, Yurtlu B.S.
Precipitation in Gallipoli: Sugammadex / Amiodarone & Sugammadex / Dobutamine & Sugammadex / Protamine.
Rev Bras Anestesiol 2013 ; 63, 1: 163-166.
3985 plakāts Manai M., Soussi M.A., Lazreg O., Drira C., Ben Tekaya S. et Razgallah Khrouf M.
Compatibilité physique entre médicaments injectables et nutrition parentérale pédiatrique : Evaluation in-vitro.
Hopipharm Congress 2017 - Nancy 2017
4471 Laboratorija Amétycine 10 mg poudre pour solution injectable - Résumé des caractéristiques du produit - Oct 10, 2019
Kyowa Kirin Pharma 2019
4698 Žurnāls Ayari G, D'Huart E, Vigneron J, Demoré B.
Y-site compatibility of intravenous medications commonly used in intensive care units : laboratory tests on 75 mixtures involving nine main drugs.
Pharmaceutical Technology in Hospital Pharmacy 2022 ; 7(1): 20220002

  Mentions Légales