Poslední aktualizace :
27/11/2025
Vitamin   Phytomenadione  
injekce
Perorální roztok
Stabilita roztoků Stabilita směsí Faktory ovlivňující stabilitu Kompatibilita Způsoby aplikace Odkazy pdf
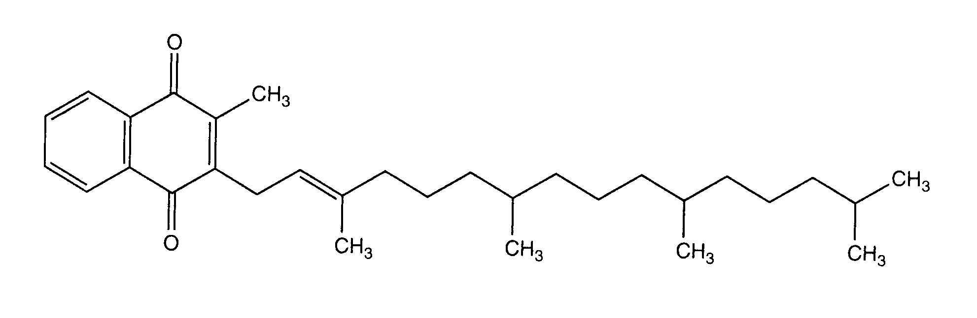
   Chemický vzorec  

Obchodní název   Obchodní název     

Trade names are indicative and excipients composition can be different depending on the country and manufacturers

Adcokion Egypt
Amidalak Mexiko
Amri-K Egypt
Aquamephyton USA
Epikavit Egypt
Haemokion Egypt
Hyvit BrazÌlie
Kanakion BrazÌlie, Portugalsko
Kavit BrazÌlie
Kenadion Indie
Kisan Malajsie
Konakion äpanÏlsko, Argentina, Belgie, Chile, Chorvatsko, Dánsko, Egypt, Ekvádor, Finsko, Irsko, Island, Itálie, Kolumbie, Lucembursko, MaÔarsko, Maroko, NÏmecko, Nizozemsko, Norsko, nový Zéland, Polsko, Rakousko, Saúdská Arábie, Spojené arabské emiráty, Švédsko, Švýcarsko, Turecko, Velká Británie, ÿecko
Oskavit Írán
Rupek Argentina
Vikadic Írán
Vitatron BrazÌlie
Kompatibilita   injekce   Kompatibilita : Phytomenadione              
Tato obrazovka ukazuje kompatibilitu nebo nekompatibilitu s, v tomto případě, typem nekompatibility (srážení, změna barvy, modifikace emulze atd.). Zde uvedené kompatibility jsou většinou pouze fyzikální, přičemž chemická stabilita každé molekuly je zřídka hodnocena. Hodnocení těchto směsí bylo studováno, aby se zvážila možnost podání Y-místa pacientovi. Tyto údaje nelze použít k přípravě směsí předem v pytlích nebo stříkačkách. Tento typ informací je k dispozici na obrazovce „Stabilita ve směsi“.
SlouËenina RozpouötÏdlo Odkazy

  Mentions Légales