Utolsó frissítés :
18/03/2026
Vitamin   Phytomenadione  
Injekció
belsőleges oldat
Az oldatok stabilitása A keverékek stabilitása Stabilitást befolyásoló tényezők Kompatibilitás Az alkalmazás módja Irodalom pdf
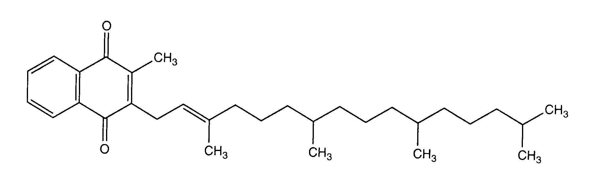
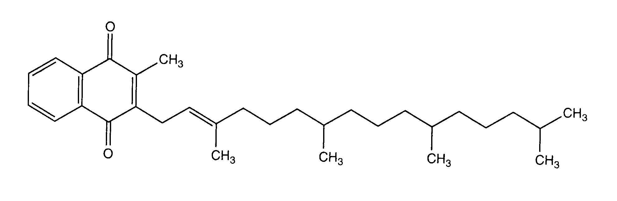
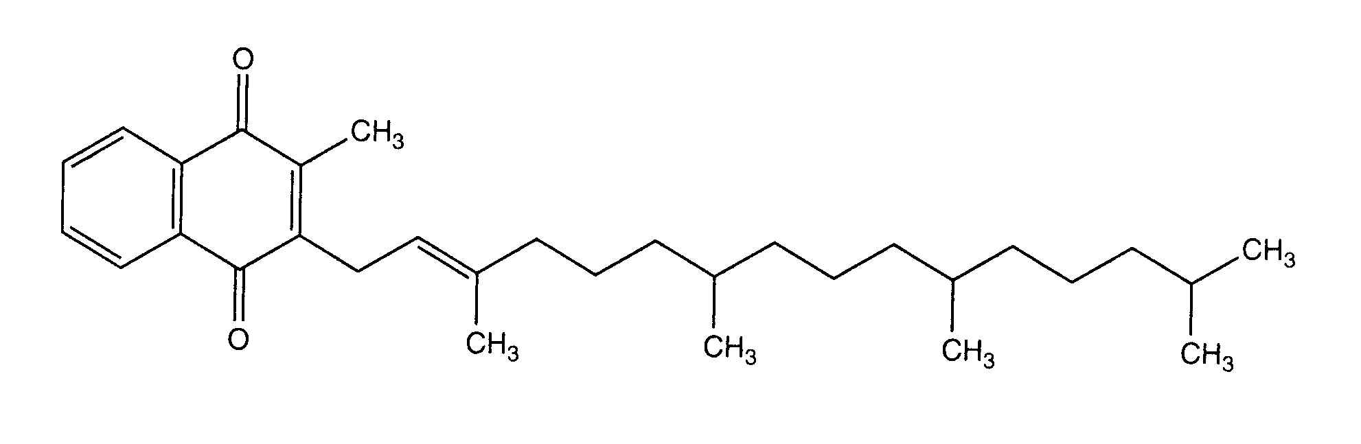
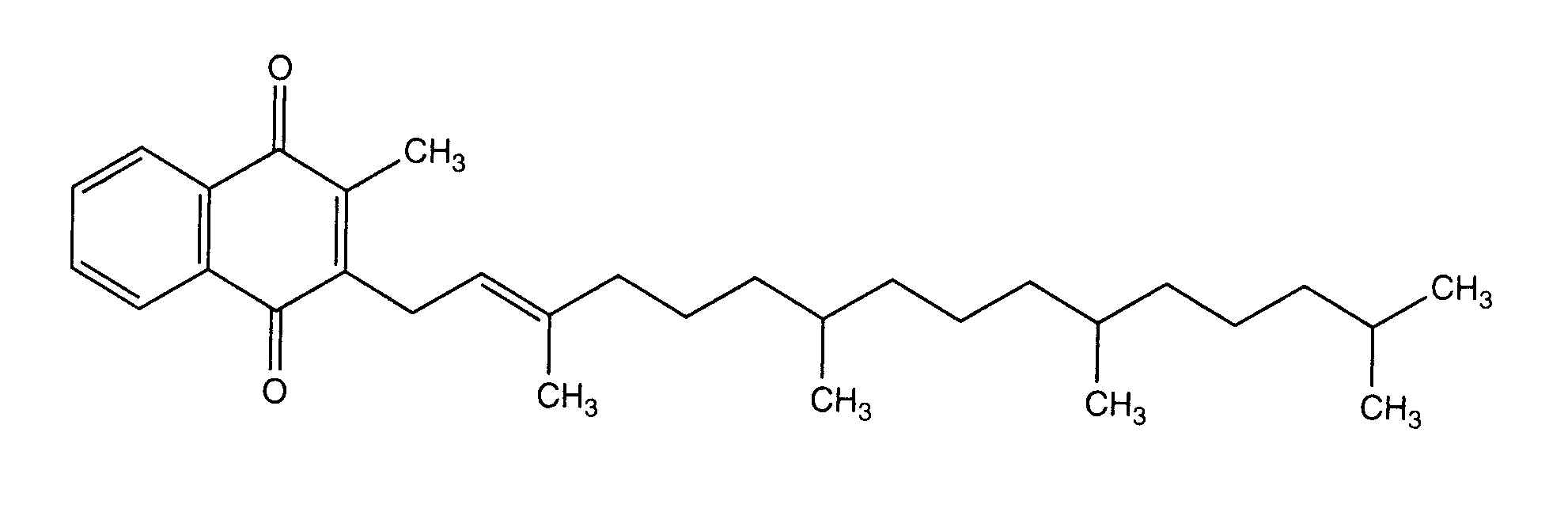
   Kémiai szerkezet   

Kereskedelmi név   Kereskedelmi név     

A kereskedelmi név meghatározó jelentőségű: a készítmények összetétele országonként, előállítóként eltérő lehet

Adcokion Egyiptom
Amidalak Mexikó
Amri-K Egyiptom
Aquamephyton Amerikai Egyesült Államok
Epikavit Egyiptom
Haemokion Egyiptom
Hyvit Brazília
Kanakion Brazília, Portugália
Kavit Brazília
Kenadion India
Kisan Malaysia
Konakion Argentína, Ausztria, Belgium, Chile, Colombia, Dánia, Ecuador, Egyesült Arab Emírségek, Egyiptom, Finnország, Görögország, Hollandia, Horvátország, Írország, Izland, Lengyelország, Luxemburg, Magyarország, Marokkó, Nagy-Britannia, Németország, Norvégia, Olaszország, Spanyolország, Svájc, Svédország, Szaúd-Arábiában, Törökország, új-Zéland
Oskavit Irán
Rupek Argentína
Vikadic Irán
Vitatron Brazília
Kompatibilitás   Injekció   Kompatibilitás : Phytomenadione              
Ovdje su prikazane kompatibilnosti ili nekompatibilnosti s tipom nekompatibilnosti (taloženje, promjena boje, modifikacija emulzije itd.) u ovom slučaju. Kompatibilnosti prikazane ovdje najčešće su fizikalne dok se kemijska stabilnost molekule rijetko procjenjuje. Procjena ovih mikstura je proučavana kako bi se razmotrila mogućnost primjene lijeka putem Y-mjesta. Ovi se podaci ne smiju koristiti za pripremu mikstura unaprijed u vrećicama ili štrcaljkama. Ova vrsta informacije se može pronaći u odjeljku « stabilnost u miksturama ».
Vegyület Oldószer Irodalom

  Mentions Légales