Ultimo aggiornamento :
18/03/2026
Vitamina   Phytomenadione  
Iniezione
Soluzione orale
Stabilità in soluzione Stabilità in miscela Fattori che influenzano la stabilità Compatibilità metodo di iniezione Bibliografia pdf
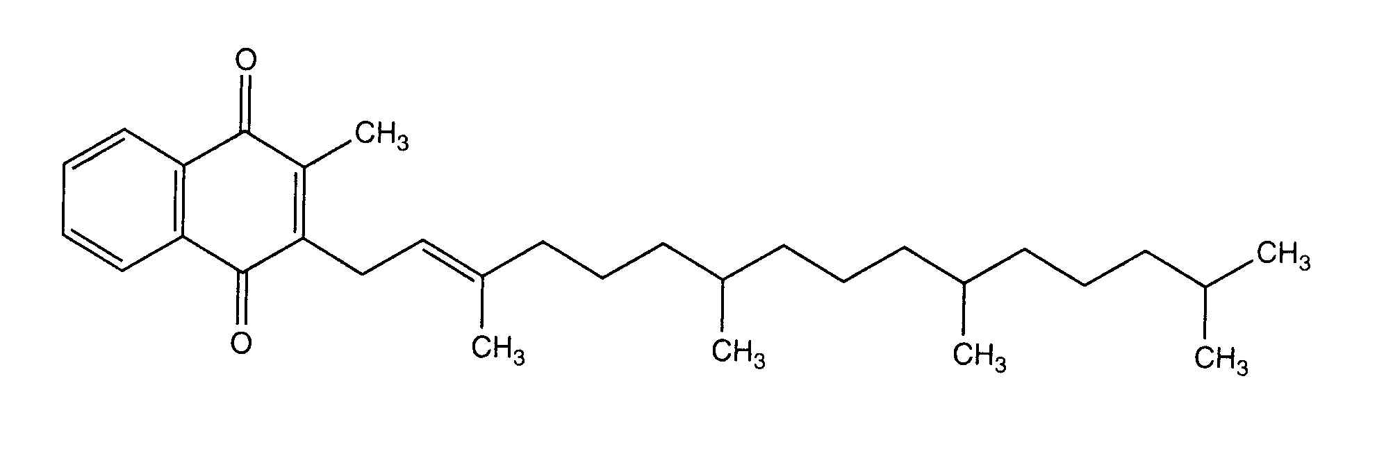
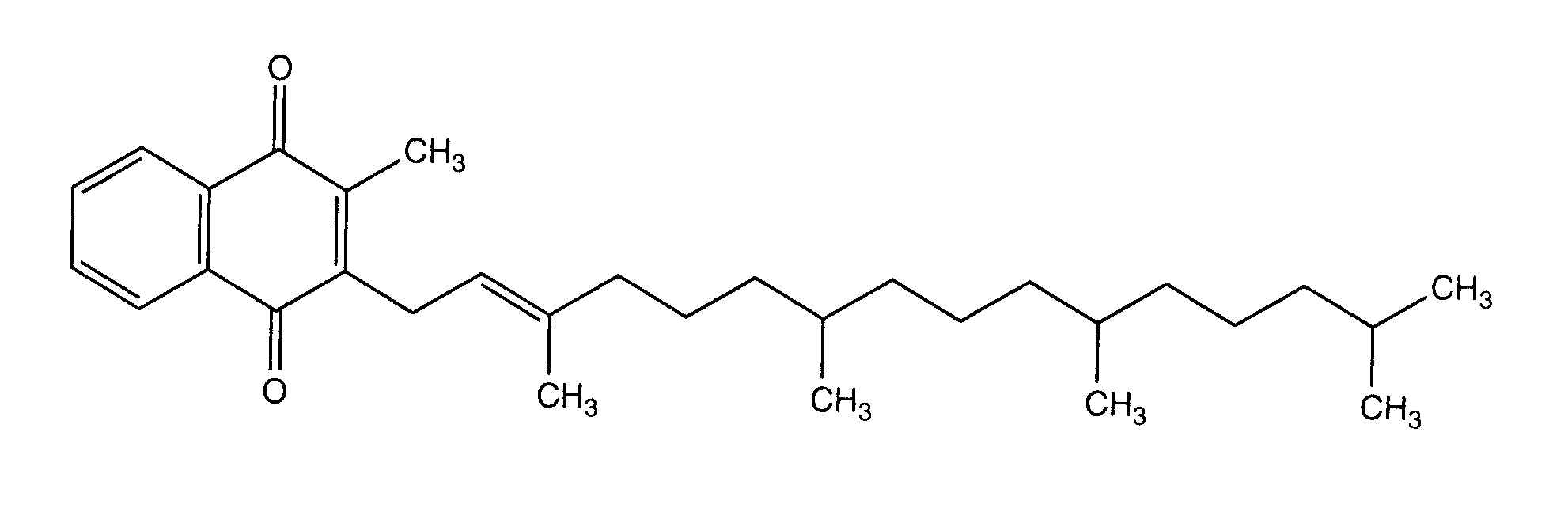
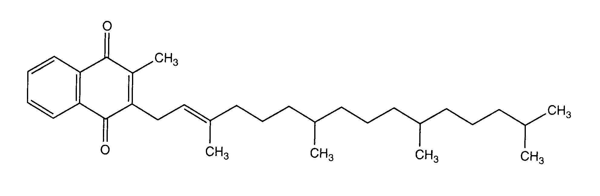
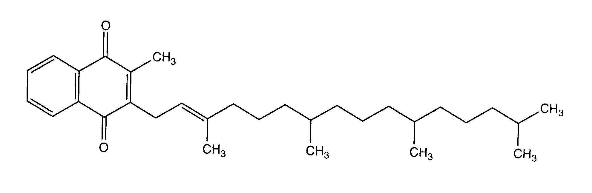
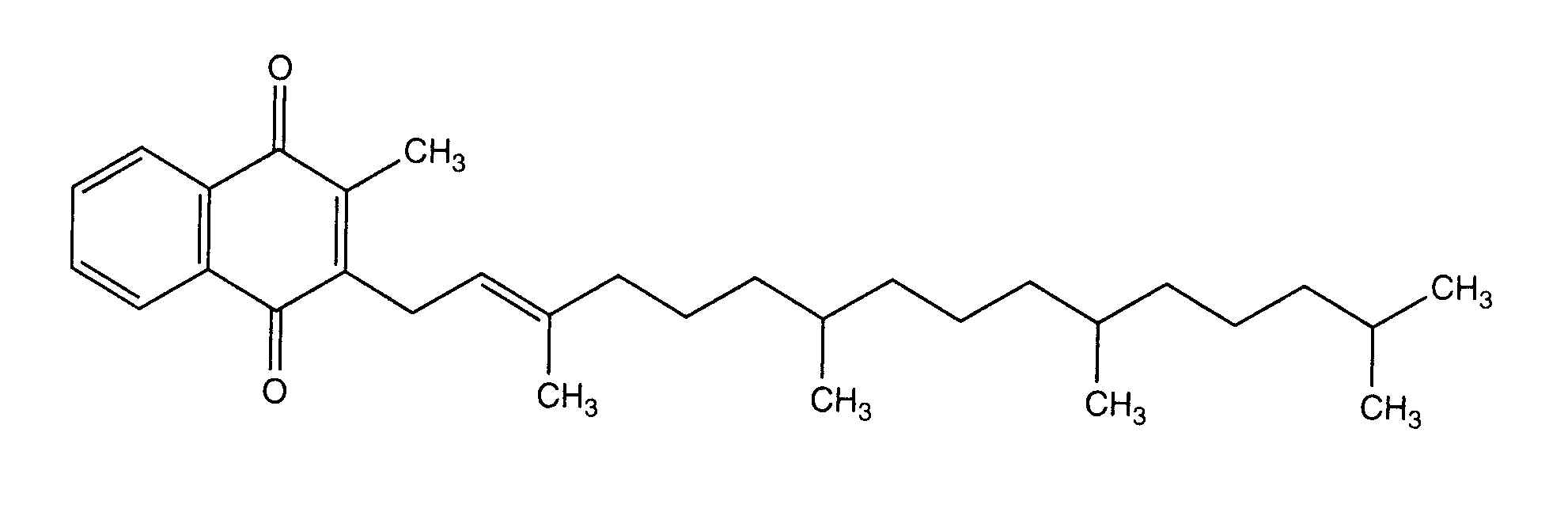
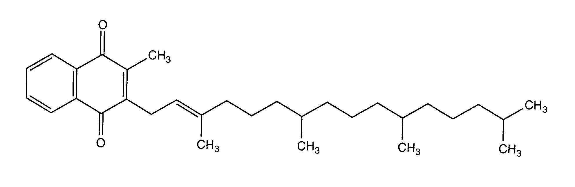
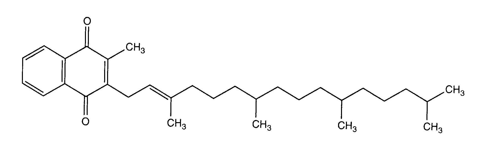
   Struttura chimica  

Nome commerciale   Nome commerciale     

Trade names are indicative and excipients composition can be different depending on the country and manufacturers

Adcokion Egitto
Amidalak Messico
Amri-K Egitto
Aquamephyton Stati Uniti d’America
Epikavit Egitto
Haemokion Egitto
Hyvit Brasile
Kanakion Brasile, Portogallo
Kavit Brasile
Kenadion India
Kisan Malaysia
Konakion Arabia Saudita, Argentina, Austria, Belgio, Chile, Colombia, Croazia, Danimarca, Ecuador, Egitto, Emirati Arabi Uniti, Finlandia, Germania, Gran Bretagna, Grecia, Irlanda, Islanda, Italia, Lussemburgo, Marocco, Norvegia, nuova Zelanda, Paesi Bassi, Polonia, Spagna, Svezia, Svizzera, Turchia, Ungheria
Oskavit Iran
Rupek Argentina
Vikadic Iran
Vitatron Brasile
Compatibilità   Iniezione   Compatibilità : Phytomenadione              

  Mentions Légales