Letztes “update” :
18/03/2026
Vitamin   Phytomenadione  
Injektion
Lösung zum Einnehmen
Stabilität der Lösung Gemengestabilität Stabilitätbeeinflussende Faktoren Kompatibilitäten Applikationsart Literaturverzeichnis pdf
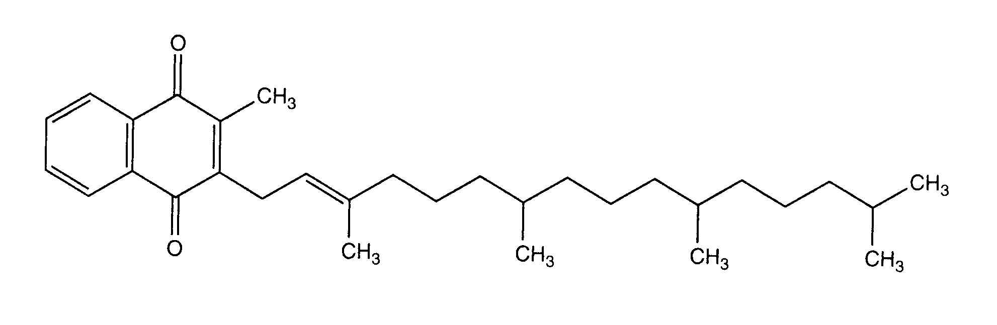
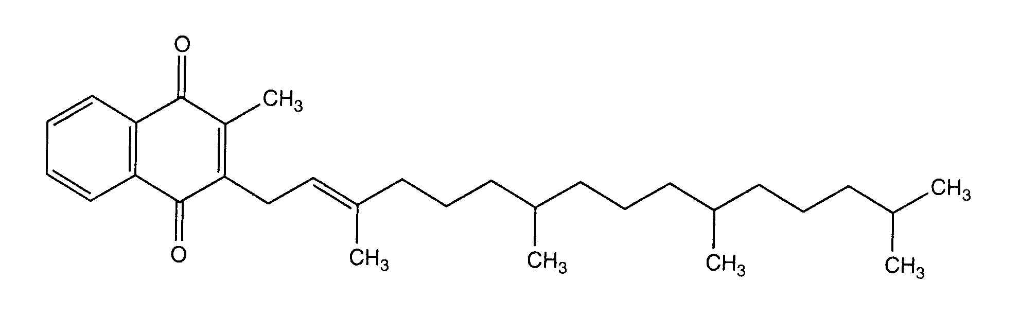
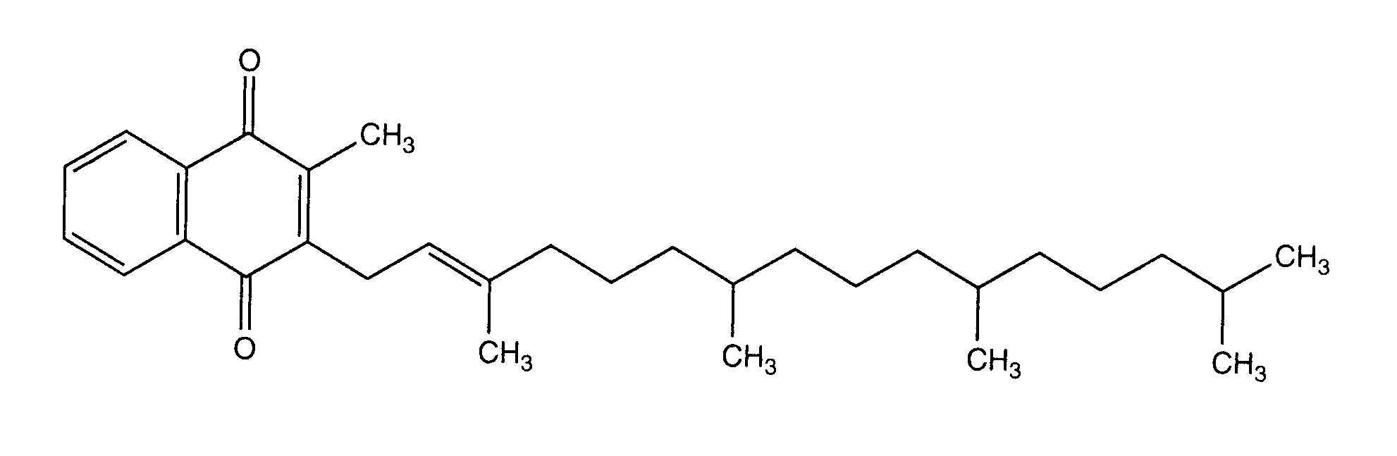
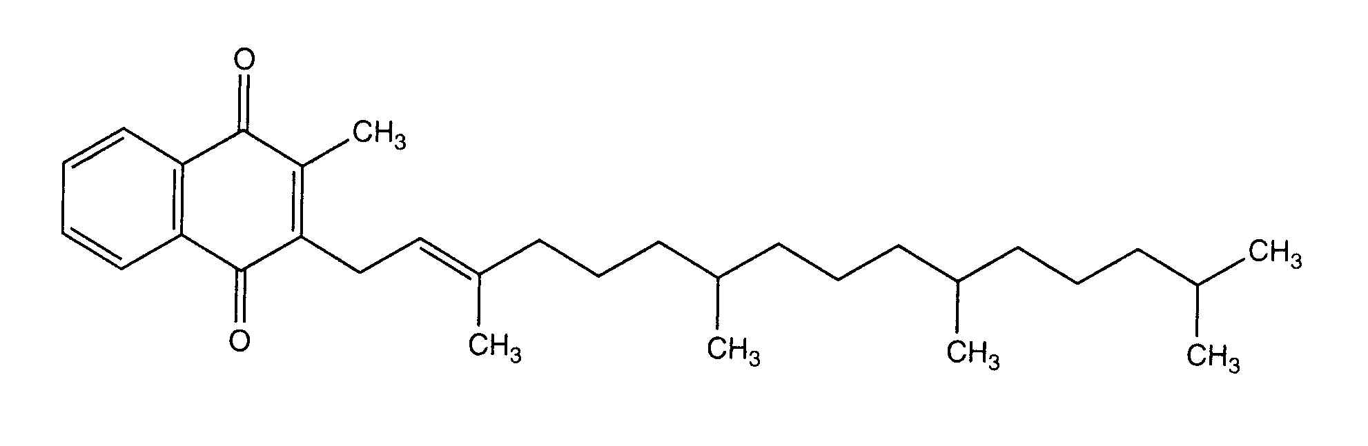
   Chemische Struktur  

Handelsmarke   Handelsmarke     

Handelsnamen sind als beispielhaft anzusehen. Sonstige Bestandteile können je nach Hersteller oder Land verschieden sein

Adcokion Ägypten
Amidalak Mexiko
Amri-K Ägypten
Aquamephyton Vereinigte Staaten von Amerika
Epikavit Ägypten
Haemokion Ägypten
Hyvit Brasilien
Kanakion Brasilien, Portugal
Kavit Brasilien
Kenadion Indien
Kisan Malaysia
Konakion Ägypten, Argentinien, Belgien, Chile, Dänemark, Deutschland, Ecuador, Finnland, Griechenland, Großbritannien, Irland, Island, Italien, Kolumbien, Kroatien, Luxemburg, Marokko, Neuseeland, Niederlande, Norwegen, Österreich, Polen, Saudi-Arabien, Schweden, Schweiz, Spanien, Türkei, Ungarn, Vereinigte Arabische Emirate
Oskavit Iran
Rupek Argentinien
Vikadic Iran
Vitatron Brasilien
Kompatibilitäten   Injektion   Kompatibilitäten : Phytomenadione              
Dieser Bildschirm zeigt die Kompatibilitäten oder Inkompatibilitäten mit der Art der Inkompatibilität (hier: Ausfällung, Farbänderung, Modifikation einer Emulsion usw.) an. Die hier gezeigten Kompatibilitäten sind meist nur physikalisch, wobei die chemische Stabilität jedes Moleküls selten bewertet wird. Die Bewertung dieser Gemische wurde untersucht, um die Möglichkeit einer Verabreichung über eine Y-Verbindung zu berücksichtigen. Diese Daten können daher nicht zur Herstellung von Mischungen im Voraus in Beuteln oder Spritzen verwendet werden. Sie finden diese Informationen auf dem Bildschirm "Stabilität in Mischung».
Molekül Lösungsmittel Literaturverzeichnis

  Mentions Légales