Última actualización :
18/03/2026
Antiinflamatorio   Ketoprofene  
Preparaciones tópicas
Inyectables Solución Oral Supositorio
La estabilidad de las preparaciones farmacéuticas Estabilidad en mezcla Factores que influyen sobre la estabilidad Compatibilidades Bibliografía pdf
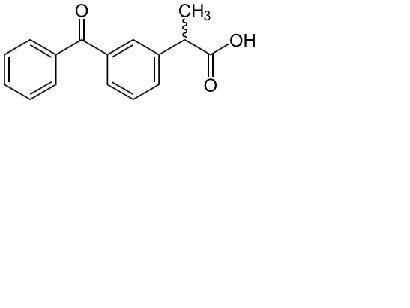
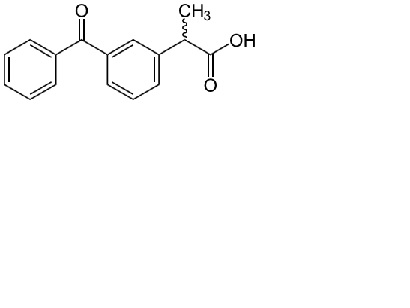
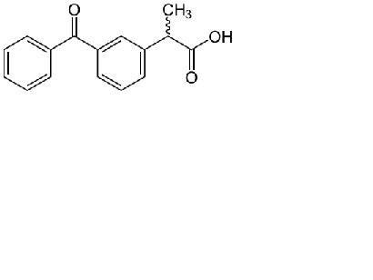
   Estructura química  

Preparaciones tópicas

Factores que influyen sobre la estabilidad   Preparaciones tópicas   Factores que influyen sobre la estabilidad : Ketoprofene        
Ausencia de datos

  Mentions Légales