Última actualização :
18/03/2026
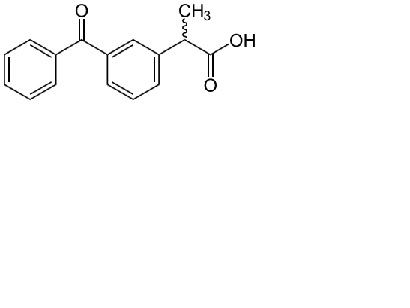
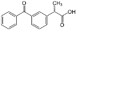
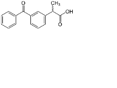
Antiinflamatorio   Ketoprofene  
Pomadas
injetável Solução Oral supositório
Estabilidade de preparações farmacêuticas Estabilidade em misturas Factores que afectam a sua estabilidade Compatibilidade Bibliografía pdf
   estrutura química  

Pomadas

Factores que afectam a sua estabilidade   Pomadas   Factores que afectam a sua estabilidade : Ketoprofene        
Ausência de dados

  Mentions Légales