Pēdējā atjaunošana :
18/03/2026
Pretiekaisuma līdzeklis   Ketoprofene  
Ziedes
Injekcija Orāls šķīdums Supozitorijs
Stabilitāte farmaceitisko preparātu Maisījuma stabilitāte Stabilitāti ietekmējoši faktori Saderība Literatūras saraksts pdf
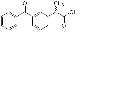
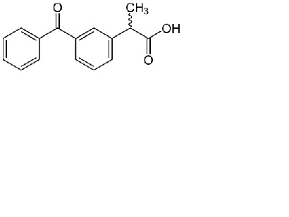
   Ķīmiskā uzbūve   

Ziedes

Stabilitāti ietekmējoši faktori   Ziedes   Stabilitāti ietekmējoši faktori : Ketoprofene        
Nav datu

  Mentions Légales