Laatste update :
18/03/2026
Ontstekingsremmer   Ketoprofene  
zalf
injecteerbaar geneesmiddel Orale Oplossing zetpil
Stabiliteit van farmaceutische preparaten Stabiliteit in mengsels Factoren die de stabiliteit beïnvloeden Verenigbaarheden Literatuur pdf
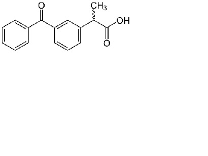
   Molecuulstructuur  

zalf

Factoren die de stabiliteit beïnvloeden   zalf   Factoren die de stabiliteit beïnvloeden : Ketoprofene        
geen gegevens

  Mentions Légales