Last update :
18/03/2026
Anti-inflammatory   Ketoprofene  
Ointments
injection Oral solution suppository
Stability of pharmaceutical preparations Stability of mixtures Factors which affect stability Compatibility References pdf
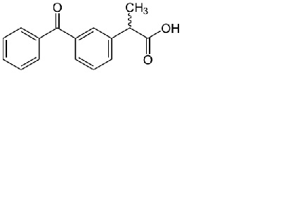
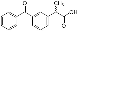
   Chemical structure  

Ointments

Factors which affect stability   Ointments   Factors which affect stability : Ketoprofene        
No data

  Mentions Légales