Seneste opdatering :
18/03/2026
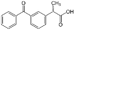
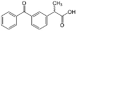
Antiinflammatorisk   Ketoprofene  
Salver
Injektion Oral opløsning Stikpille
Stabilitet af farmaceutiske tilberedninger Stabilitet i blandinger Faktorer der påvirker stabiliteten Kompatibilitet Bibliografi pdf
   Kemisk struktur  

Salver

Faktorer der påvirker stabiliteten   Salver   Faktorer der påvirker stabiliteten : Ketoprofene        
Ingen data

  Mentions Légales