Ostatnia aktualizacja :
18/03/2026
Lek przeciwzapalny   Ketoprofene  
Maści
Czopek Injekcje Roztwór doustny
Stabilność preparatów farmaceutycznych Trwałość w mieszaninie Czynnik wpływający na trwałość Zgodność Bibliografia pdf
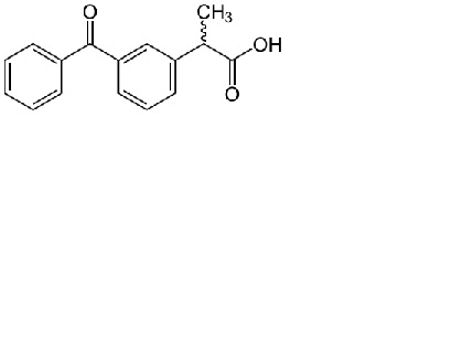
   Struktura chemiczna  

Maści

Czynnik wpływający na trwałość   Maści   Czynnik wpływający na trwałość : Ketoprofene        
Brak danych

  Mentions Légales