Останнє оновлення :
18/03/2026
різноманітні   Indocyanine green  
ін'єкція
Стійкість в розчинах Стійкість сумішей Фактори, що впливають на стабільність Сумісність Шлях введення Список літератури pdf
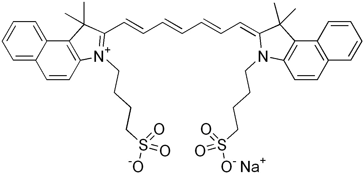
   Хімічна структура  

Торгова назва   Торгова назва     

Торгові назви є орієнтовними, а склад допоміжних речовин може бути різним залежно від країни та виробника

Infracyanine Франція
Verdye Ірландія, Іспанія, Італія, Бельгія, Німеччина, Румунія, Угорщина, Швеція
Стійкість в розчинах   ін'єкція   Стійкість в розчинах : Indocyanine green     
Контейнер Розчинник Концентрація температура Зберігання Тривалість стабільності Список літератури
скло Вода для ін'єкцій 0,025 mg/ml 4°C Берегти від світла
24 годину
4289
Рівень доказовості D

Поліпропіленовий шприц Вода для ін'єкцій 2,5 mg/ml -20°C Не визначено
28 День
4246
Рівень доказовості C

Поліпропіленовий шприц Вода для ін'єкцій 2,5 mg/ml 25°C Не визначено
30 годину
4246
Рівень доказовості C

Поліпропіленовий шприц Вода для ін'єкцій 2,5 mg/ml 4°C Не визначено
32 годину
4246
Рівень доказовості C


  Mentions Légales