viimane versioon :
04/02/2026
mitmesugune   Indocyanine green  
Süsteravim
Stabiilsus lahustes Stabiilsust mõjutavad tegurid stabiilsust mõjutavad faktorid Sobimatus Manustamis viis Viited pdf
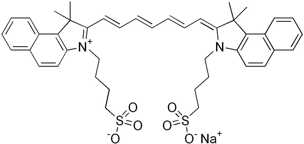
   keemiline struktuur  

Kaubanduslikud nimed erinevates maades   Kaubanduslikud nimed erinevates maades     

Preparaatide nimed on näitlikud ja abianete sisaldus võib erineda sõltuvalt riigist ja laborist

Infracyanine Prantsusmaa
Verdye Belgia, Hispaania, Iirimaa, Itaalia, Rootsi, Rumeenia, Saksamaa, Ungari
Stabiilsus lahustes   Süsteravim   Stabiilsus lahustes : Indocyanine green     
konteiner lahusti kontsentratsioon temperatuur ladustamine Stabiilsuse kestus Viited
klaas süstevesi 0,025 mg/ml 4°C kaitsta valguse eest
24 Tund
4289
Tõenduspõhisuse tase D

süstal  polüpropüleenist süstevesi 2,5 mg/ml -20°C pole täpsustatud
28 päev
4246
Tõenduspõhisuse tase C

süstal  polüpropüleenist süstevesi 2,5 mg/ml 25°C pole täpsustatud
30 Tund
4246
Tõenduspõhisuse tase C

süstal  polüpropüleenist süstevesi 2,5 mg/ml 4°C pole täpsustatud
32 Tund
4246
Tõenduspõhisuse tase C


  Mentions Légales