Ultimo aggiornamento :
18/03/2026
Altro   Indocyanine green  
Iniezione
Stabilità in soluzione Stabilità in miscela Fattori che influenzano la stabilità Compatibilità metodo di iniezione Bibliografia pdf
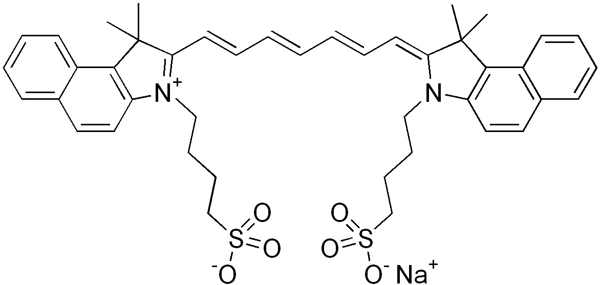
   Struttura chimica  

Nome commerciale   Nome commerciale     

Trade names are indicative and excipients composition can be different depending on the country and manufacturers

Infracyanine Francia
Verdye Belgio, Germania, Irlanda, Italia, Romania, Spagna, Svezia, Ungheria
Stabilità in soluzione   Iniezione   Stabilità in soluzione : Indocyanine green     
contenitore Solvente Concentrazione Temperatura Conservazione Durata della stabilità Bibliografia
Vetro Acqua per preparato iniettabile 0,025 mg/ml 4°C Al riparo dalla luce
24 Ora
4289
Livello di evidenza D

siringa polipropilene Acqua per preparato iniettabile 2,5 mg/ml -20°C Non precisata
28 Giorno
4246
Livello di evidenza C

siringa polipropilene Acqua per preparato iniettabile 2,5 mg/ml 25°C Non precisata
30 Ora
4246
Livello di evidenza C

siringa polipropilene Acqua per preparato iniettabile 2,5 mg/ml 4°C Non precisata
32 Ora
4246
Livello di evidenza C


  Mentions Légales