Última actualización :
04/02/2026
Varios   Indocyanine green  
Inyectables
Estabilidad en solucion Estabilidad en mezcla Factores que influyen sobre la estabilidad Compatibilidades método de inyección Bibliografía pdf
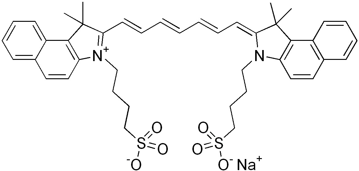
   Estructura química  

Nombre comercial   Nombre comercial     

Los nombres comerciales son orientativos y los excipientes de la formulación pueden ser distintos dependiendo del país y del laboratorio fabricante.

Infracyanine Francia
Verdye Alemania, Bélgica, España, Hungría, Irlanda, Italia, Rumania, Suecia
Estabilidad en solucion   Inyectables   Estabilidad en solucion : Indocyanine green     
Envase Solvente Concentración Temperatura Conservación Duración de la estabilidad Bibliografía
Vidrio Agua para preparación inyectable 0,025 mg/ml 4°C A cubierto de la luz
24 Hora
4289
Nivel de evidencia D

jeringa polipropileno Agua para preparación inyectable 2,5 mg/ml -20°C No precisada
28 Día
4246
Nivel de evidencia C

jeringa polipropileno Agua para preparación inyectable 2,5 mg/ml 25°C No precisada
30 Hora
4246
Nivel de evidencia C

jeringa polipropileno Agua para preparación inyectable 2,5 mg/ml 4°C No precisada
32 Hora
4246
Nivel de evidencia C


  Mentions Légales