Utolsó frissítés :
18/03/2026
Különféle   Indocyanine green  
Injekció
Az oldatok stabilitása A keverékek stabilitása Stabilitást befolyásoló tényezők Kompatibilitás Az alkalmazás módja Irodalom pdf
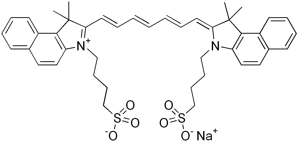
   Kémiai szerkezet   

Kereskedelmi név   Kereskedelmi név     

A kereskedelmi név meghatározó jelentőségű: a készítmények összetétele országonként, előállítóként eltérő lehet

Infracyanine Franciaország
Verdye Belgium, Írország, Magyarország, Németország, Olaszország, Románia, Spanyolország, Svédország
Az oldatok stabilitása   Injekció   Az oldatok stabilitása : Indocyanine green     
Csomagolás Oldószer Koncentráció Hőmérséklet Tárolás A stabilitás időtartama Irodalom
Üveg Injekcióhoz való víz 0,025 mg/ml 4°C Fénytől védve tartandó
24 Óra
4289
Szintű bizonyítékot D

fecskendő polipropilén Injekcióhoz való víz 2,5 mg/ml -20°C Nincs meghatározva
28 Nap
4246
Szintű bizonyítékot C

fecskendő polipropilén Injekcióhoz való víz 2,5 mg/ml 25°C Nincs meghatározva
30 Óra
4246
Szintű bizonyítékot C

fecskendő polipropilén Injekcióhoz való víz 2,5 mg/ml 4°C Nincs meghatározva
32 Óra
4246
Szintű bizonyítékot C


  Mentions Légales