Siste oppdatering :
18/03/2026
Forskjellig   Indocyanine green  
Injeksjon
Oppløsningsstabilitet Stabilitet i blandinger Faktorer som påvirker stabiliteten Kompatibilitet Administrasjonsmåte Referanser pdf
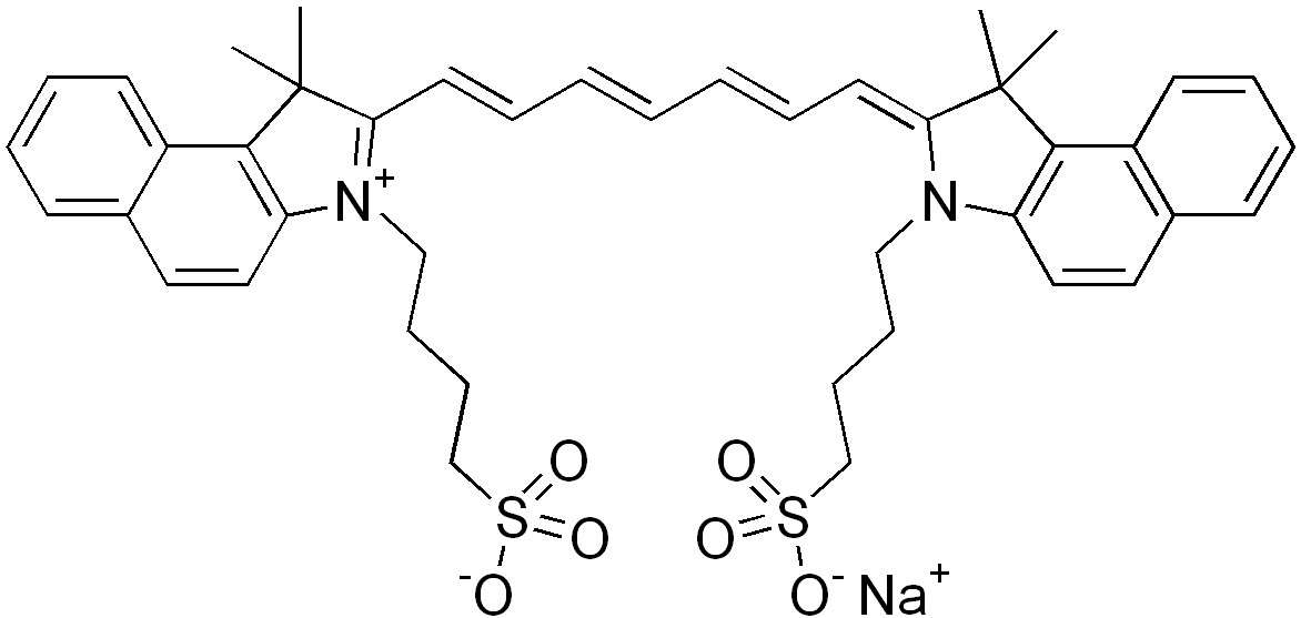
   Kjemisk struktur  

Handelsnavn   Handelsnavn     

Handelsnavn er veiledende og sammensetning av hjelpestoffer kan være forskjellig avhengig av land og produsent

Infracyanine Frankrike
Verdye Belgia, Irland, Italia, Romania, Spania, Sverige, Tyskland, Ungarn
Oppløsningsstabilitet   Injeksjon   Oppløsningsstabilitet : Indocyanine green     
Beholder Oppløsningsmiddel Konsentrasjon Temperatur Oppbevaring Varighet av stabilitet Referanser
Glass Vann til injeksjon 0,025 mg/ml 4°C Beskyttes mot lys
24 Tid
4289
Bevisgrad D

Sprøyte polypropylen Vann til injeksjon 2,5 mg/ml -20°C Ikke angitt
28 Dag
4246
Bevisgrad C

Sprøyte polypropylen Vann til injeksjon 2,5 mg/ml 25°C Ikke angitt
30 Tid
4246
Bevisgrad C

Sprøyte polypropylen Vann til injeksjon 2,5 mg/ml 4°C Ikke angitt
32 Tid
4246
Bevisgrad C


  Mentions Légales