Posledná aktualizácia :
23/03/2026
rôzne   Indocyanine green  
Injekcia
Stabilita roztokov Stabilita v zmesiach Faktory ovplyvňujúce stabilitu Kompatibility spôsob podania Odkazy na literatúru PDF
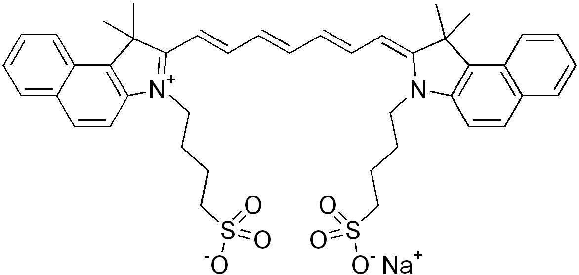
   Chemický vzorec  

Obchodný názov   Obchodný názov     

Obchodné názvy sú orientačné, a zloženie pomocných látok sa môže líšiť v závislosti od krajiny a výrobcu.

Infracyanine Francúzsko
Verdye Belgicko, Írsko, Maďarsko, Nemecko, Rumunsko, Španielsko, Švédsko, Taliansko
spôsob podania   spôsob podania :Indocyanine green     
Voie
intravenózne

  Mentions Légales