Última actualização :
18/03/2026
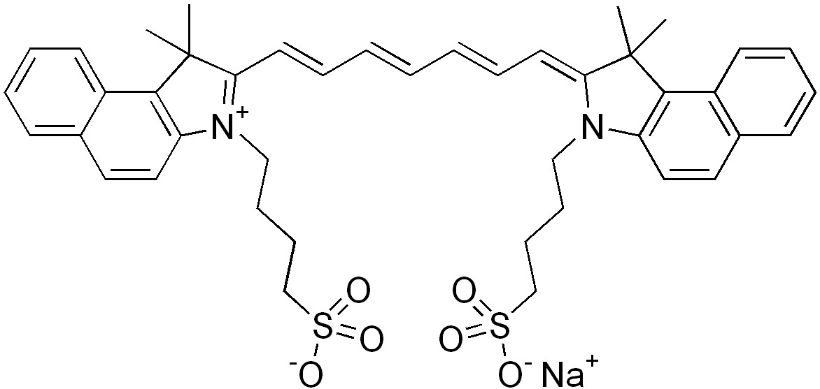
Varios   Indocyanine green  
injetável
Estabilidade em soluções simples Estabilidade em misturas Factores que afectam a sua estabilidade Compatibilidade Método de administração Bibliografía pdf
   estrutura química  

Nomes comerciais nos diversos países   Nomes comerciais nos diversos países     

OS NOMES COMERCIAIS SÃO INDICATIVOS E OS EXCIPIENTES DA FORMULAÇÃO PODEM SER DIFERENTES CONFORME O PAÍS E FABRICANTE.

Infracyanine França
Verdye Alemanha, Bélgica, Espanha, Hungria, Irlanda, Itália, Romènia, Suècia
Método de administração   Método de administração :Indocyanine green     
Voie
intravenoso

  Mentions Légales