آخر تحديث :
18/03/2026
مختلف   Indocyanine green  
حقن
الاستقرار في حلول استقرار مخاليط العوامل التي تؤثر على الاستقرار التوافق طريقة التعاطي مراجع pdf
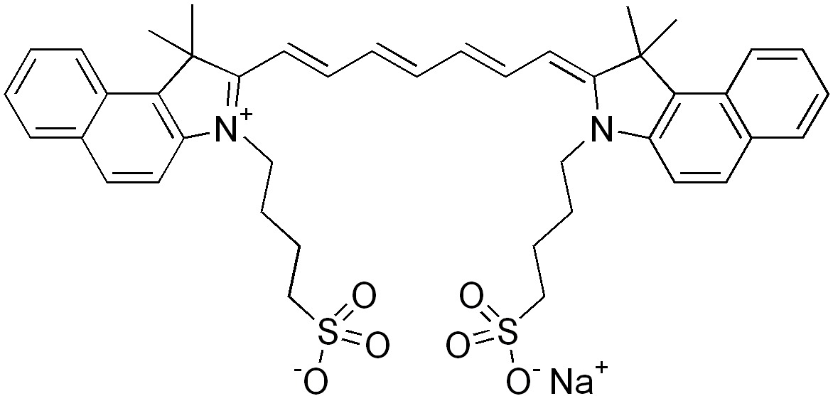
   التركيب الكيميائي  

حجز الاسم التجاري   حجز الاسم التجاري     

تحذير الأسماء التجاريه المختلفه قد تحتوي علي محتوي إضافات مختلفة حسب الدوله و المعمل

Infracyanine فرنسا
Verdye ألمانيا, إسبانيا, إيطاليا, السويد, ايرلندا, بلجيكا, رومانيا, هنغاريا
طريقة التعاطي   طريقة التعاطي :Indocyanine green     
Voie
وريدي

  Mentions Légales