Последнее обновление :
18/03/2026
Разное   Indocyanine green  
Инъекция
Стабильность растворов Стабильность смесей Факторы, которые влияют на стабильность Совместимость Способы введения Библиография pdf
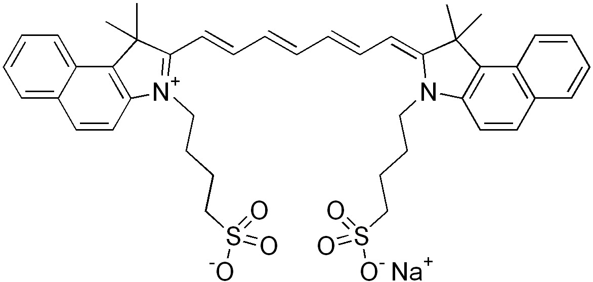
   Химическая структура  

Товарное название   Товарное название     

Trade names are indicative and excipients composition can be different depending on the country and manufacturers

Infracyanine Франция
Verdye Бельгия, Венгрия, Германия, Ирландия, Испания, Италия, Румыния, Швеция
Способы введения   Способы введения :Indocyanine green     
Voie
Интравенный, внутривенный

  Mentions Légales