Laatste update :
23/03/2026
Diverse   Indocyanine green  
injecteerbaar geneesmiddel
Stabiliteit in oplossing Stabiliteit in mengsels Factoren die de stabiliteit beïnvloeden Verenigbaarheden Toedieningswijze Literatuur pdf
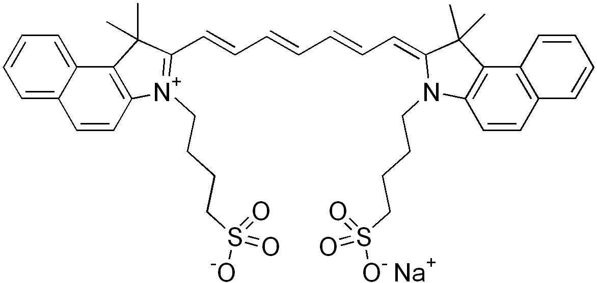
   Molecuulstructuur  

Merknamen in verschillende landen   Merknamen in verschillende landen     

Handelsnamen zijn slechts een indicatie; de samenstelling van hulpstoffen kan per land variëren afhankelijk van de fabrikant

Infracyanine Frankrijk
Verdye België, Duitsland, Hongarije, Ierland, Italië, Roemenië, Spanje, Zweden
Toedieningswijze   Toedieningswijze :Indocyanine green     
Voie
Intraveneus

  Mentions Légales