Letztes “update” :
18/03/2026
Verschiedenes   Indocyanine green  
Injektion
Stabilität der Lösung Gemengestabilität Stabilitätbeeinflussende Faktoren Kompatibilitäten Applikationsart Literaturverzeichnis pdf
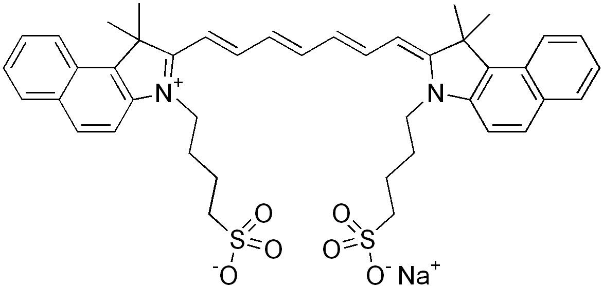
   Chemische Struktur  

Handelsmarke   Handelsmarke     

Handelsnamen sind als beispielhaft anzusehen. Sonstige Bestandteile können je nach Hersteller oder Land verschieden sein

Infracyanine Frankreich
Verdye Belgien, Deutschland, Irland, Italien, Rumänien, Schweden, Spanien, Ungarn
Applikationsart   Applikationsart :Indocyanine green     
Verabreichung
Intravenös

  Mentions Légales