Son güncelleme :
31/03/2026
Antibiyotik   Clindamycine hydrochloride  
Oral solüsyon / oral çözelti
Farmasötik preparatlar Kararlılığı Karışımlardaki stabilitesi Stabiliteyi etkileyen faktörler Uyumluluk Kaynaklar pdf
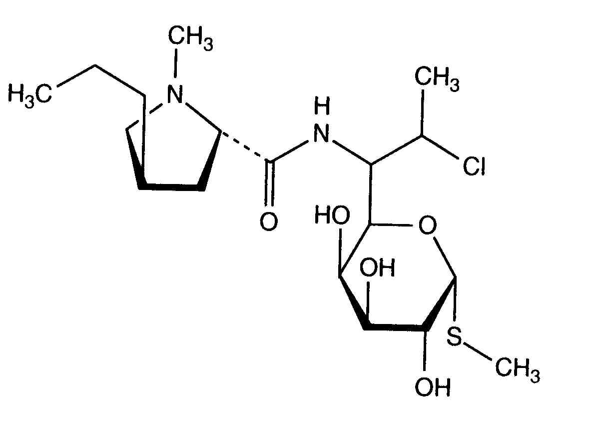
   Kimyasal yapı   

Oral solüsyon / oral çözelti
Uyumluluk   Oral solüsyon / oral çözelti   Uyumluluk : Clindamycine hydrochloride              
veri yok

  Mentions Légales