Pēdējā atjaunošana :
31/03/2026
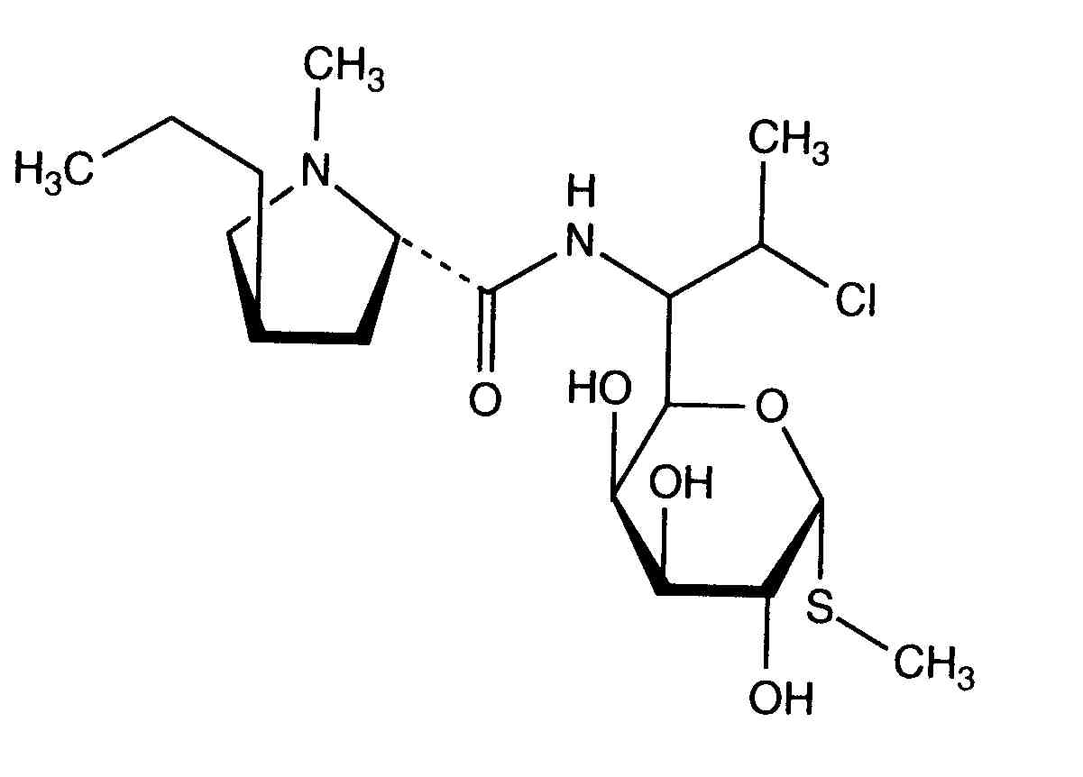
Antibiotika   Clindamycine hydrochloride  
Orāls šķīdums
Stabilitāte farmaceitisko preparātu Maisījuma stabilitāte Stabilitāti ietekmējoši faktori Saderība Literatūras saraksts pdf
   Ķīmiskā uzbūve   

Orāls šķīdums
Saderība   Orāls šķīdums   Saderība : Clindamycine hydrochloride              
Nav datu

  Mentions Légales