Ostatnia aktualizacja :
31/03/2026
Antybiotyk   Clindamycine hydrochloride  
Roztwór doustny
Stabilność preparatów farmaceutycznych Trwałość w mieszaninie Czynnik wpływający na trwałość Zgodność Bibliografia pdf
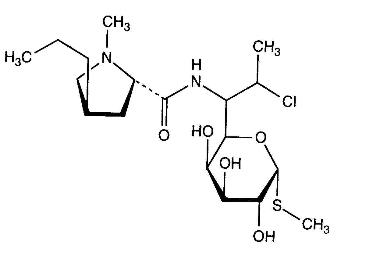
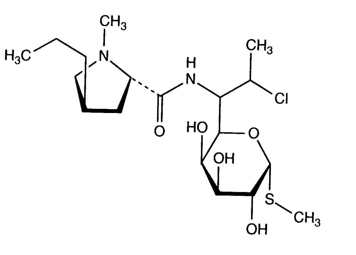
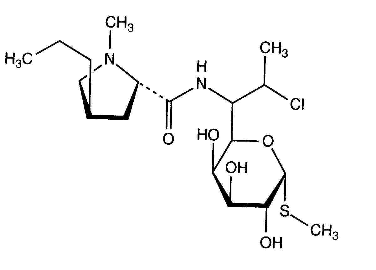
   Struktura chemiczna  

Roztwór doustny
Zgodność   Roztwór doustny   Zgodność : Clindamycine hydrochloride              
Brak danych

  Mentions Légales