Viimeisin päivitys :
31/03/2026
Antibiootit   Clindamycine hydrochloride  
Oraaliliuos
Vakaus lääkevalmisteen Stabilius seoksissa Tekijät, jotka vaikuttavat stabiliuteen Yhteensopivuus Viitteet pdf
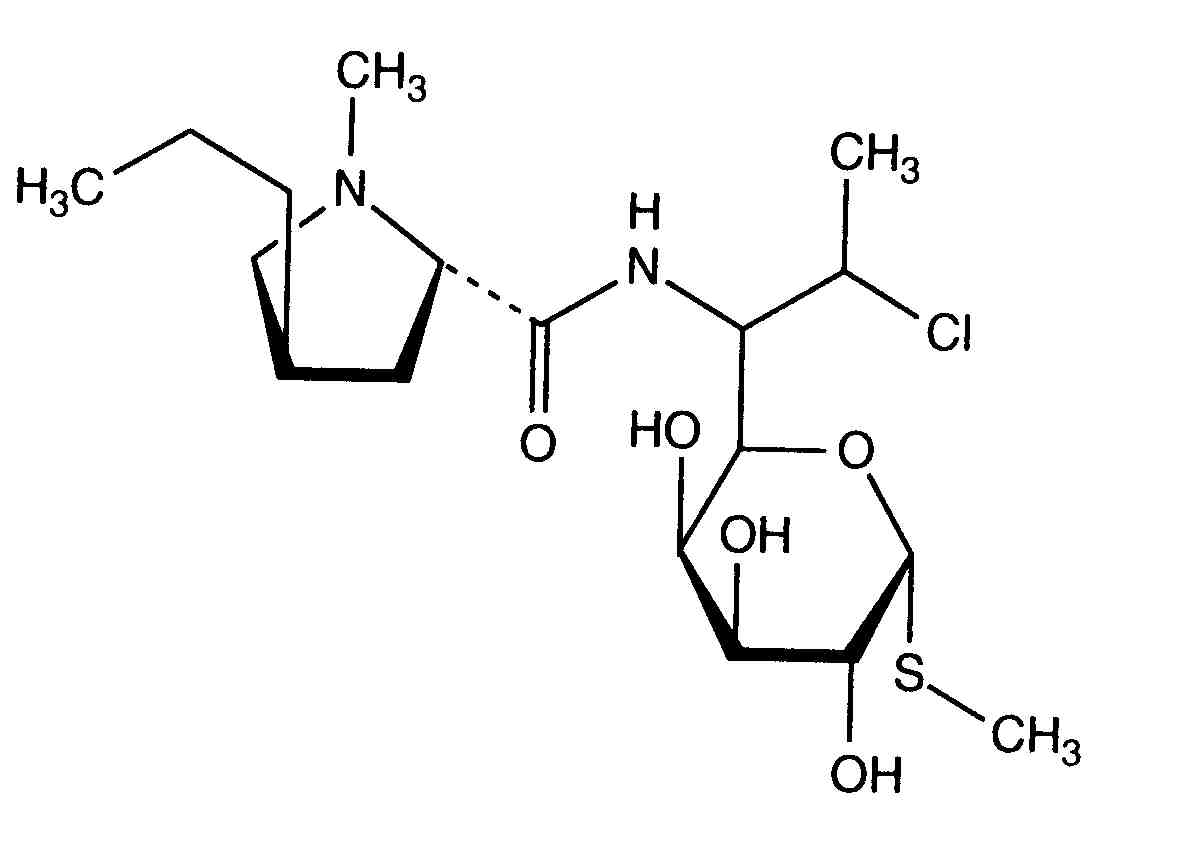
   Kemiallinen rakenne  

Oraaliliuos
Yhteensopivuus   Oraaliliuos   Yhteensopivuus : Clindamycine hydrochloride              
ei tietoa

  Mentions Légales