Posledná aktualizácia :
05/12/2025
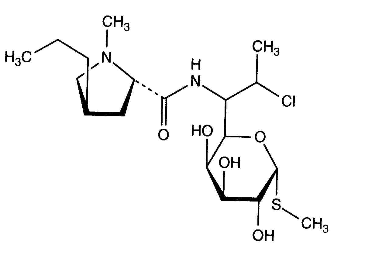
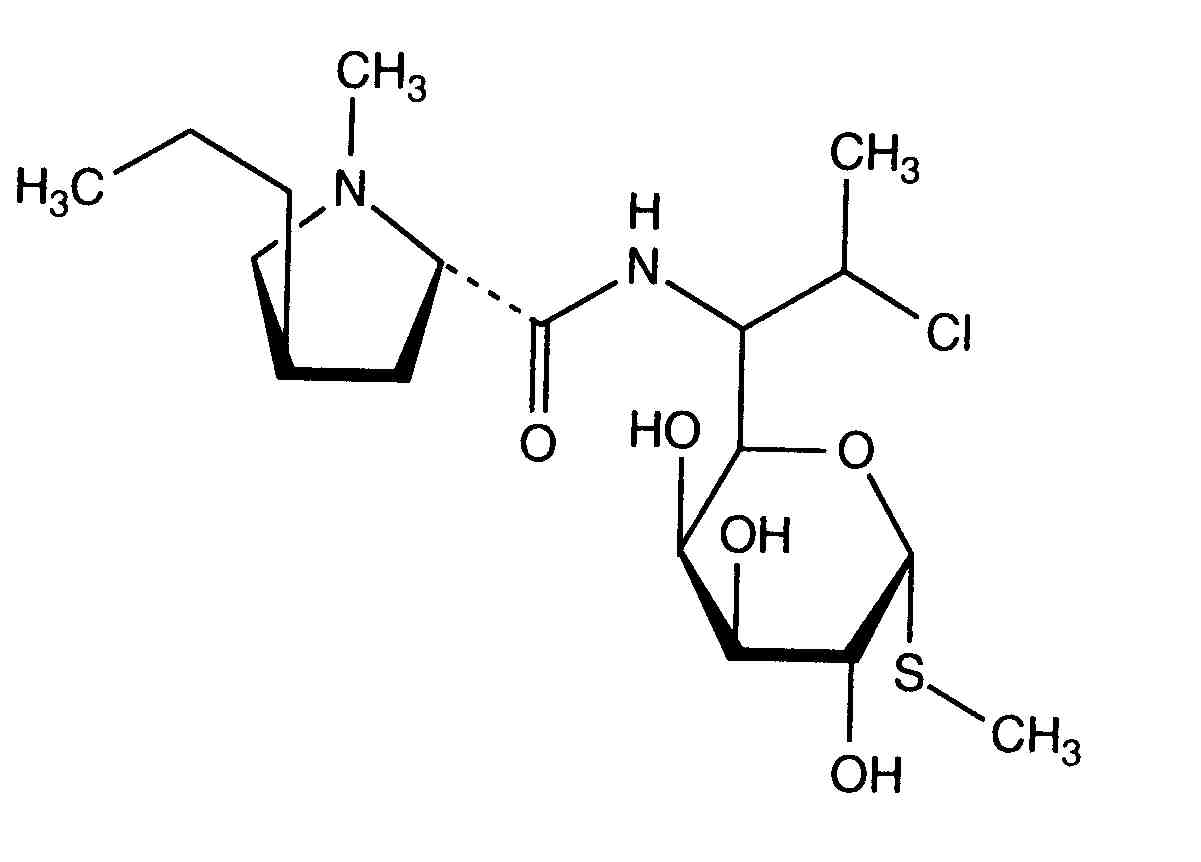
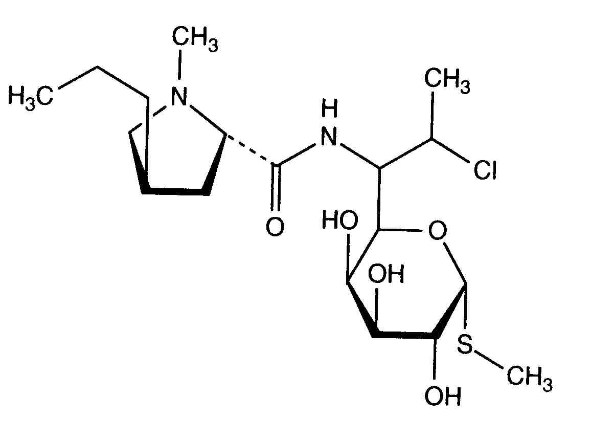
antibiotikum   Clindamycine hydrochloride  
Perorálny roztok
Stabilita farmaceutických prípravkov Stabilita v zmesiach Faktory ovplyvňujúce stabilitu Kompatibility Odkazy na literatúru PDF
   Chemický vzorec  

Perorálny roztok
Kompatibility   Perorálny roztok   Kompatibility : Clindamycine hydrochloride              
žiadne údaje

  Mentions Légales