Последно актуализиране :
31/03/2026
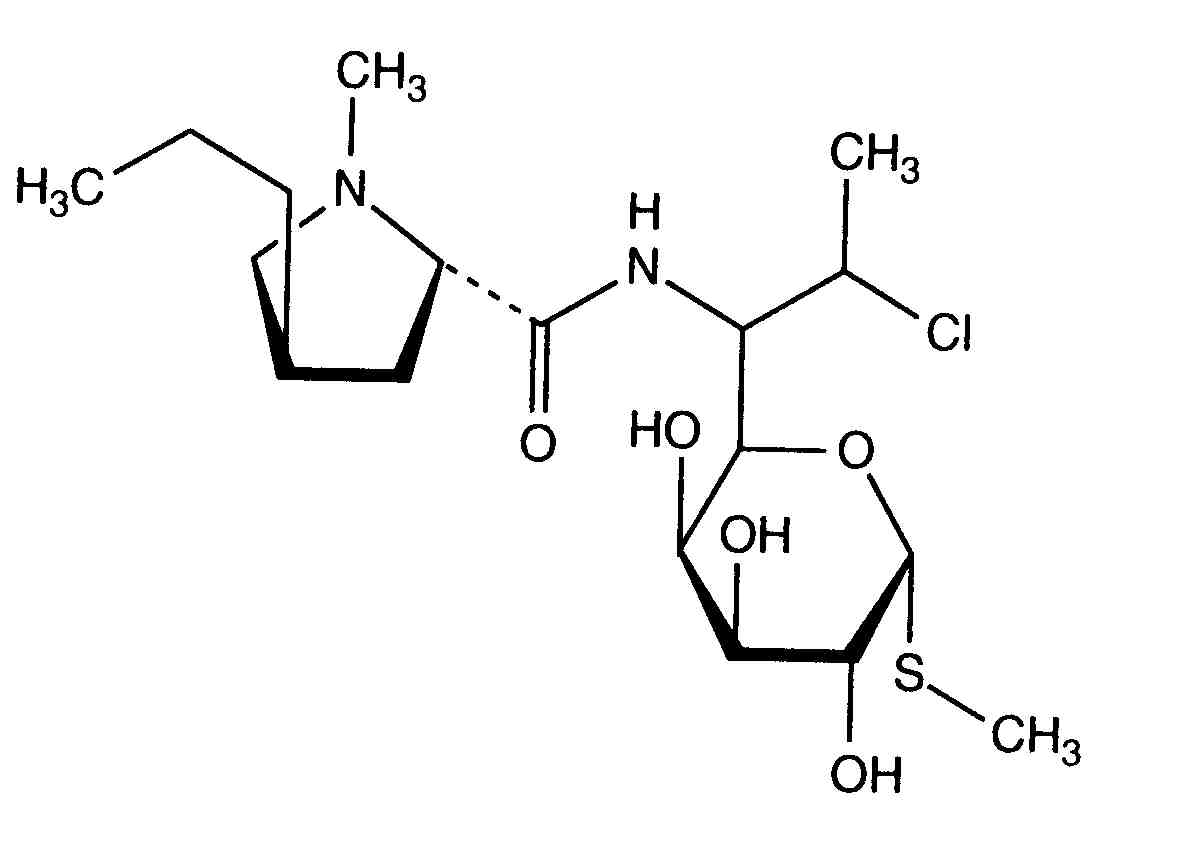
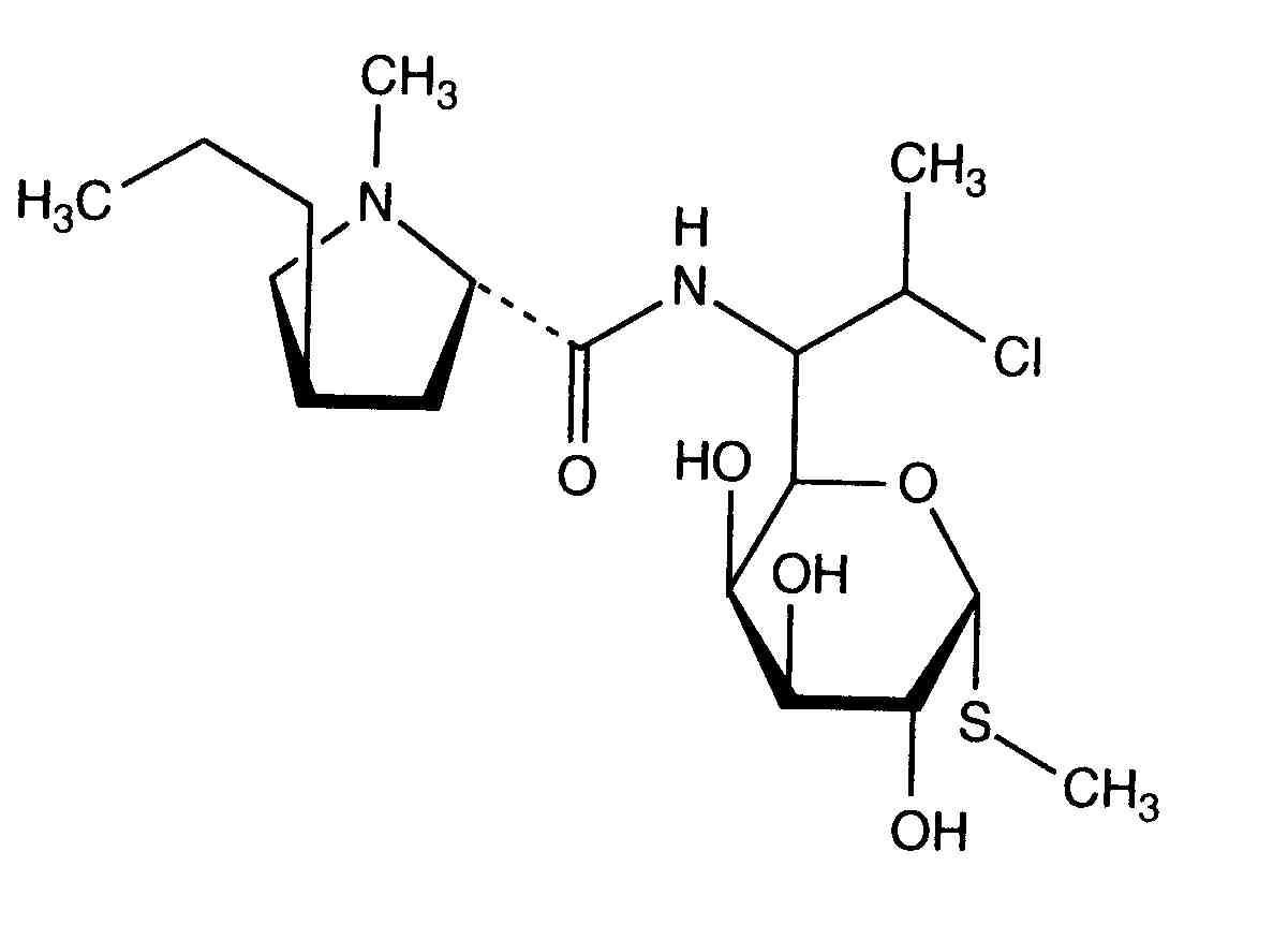
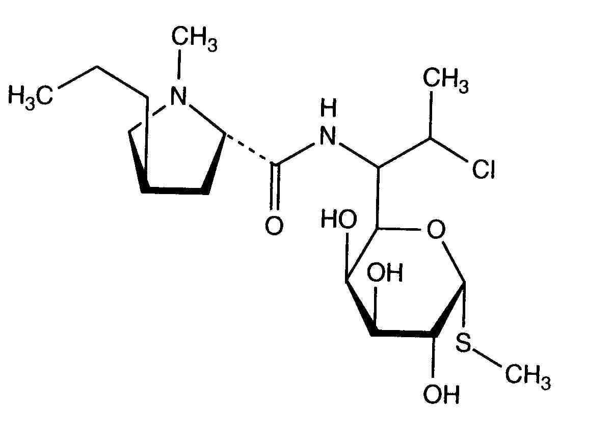
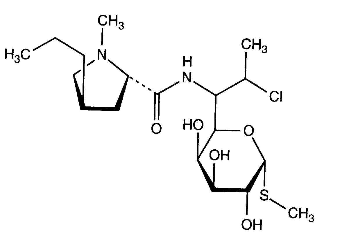
Антибиотик   Clindamycine hydrochloride  
Орален разтвор
Стабилност на лекарствени препарати Стабилност на смеси Фактори, повлияващи стабилността Съвместимост Библиография Pdf
   Химична структура  

Орален разтвор
Съвместимост   Орален разтвор   Съвместимост : Clindamycine hydrochloride              
Няма данни

  Mentions Légales