Laatste update :
31/03/2026
Antibioticum   Clindamycine hydrochloride  
Orale Oplossing
Stabiliteit van farmaceutische preparaten Stabiliteit in mengsels Factoren die de stabiliteit beïnvloeden Verenigbaarheden Literatuur pdf
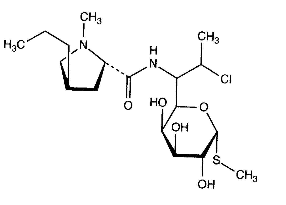
   Molecuulstructuur  

Orale Oplossing
Verenigbaarheden   Orale Oplossing   Verenigbaarheden : Clindamycine hydrochloride              
geen gegevens

  Mentions Légales