Son güncelleme :
18/03/2026
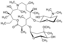
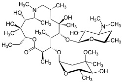
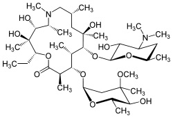
Antibiyotik   Azithromycine  
Merhem
Enjeksiyon
Farmasötik preparatlar Kararlılığı Karışımlardaki stabilitesi Stabiliteyi etkileyen faktörler Uyumluluk Kaynaklar pdf
   Kimyasal yapı   

Merhem
Uyumluluk   Merhem   Uyumluluk : Azithromycine              
veri yok

  Mentions Légales