Poslední aktualizace :
18/03/2026
Antibiotikum   Azithromycine  
Masti
injekce
Stabilita farmaceutických přípravků Stabilita směsí Faktory ovlivňující stabilitu Kompatibilita Odkazy pdf
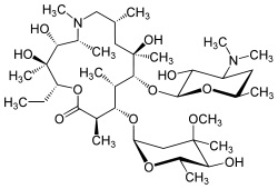
   Chemický vzorec  

Masti
Kompatibilita   Masti   Kompatibilita : Azithromycine              
žádná data

  Mentions Légales