Ostatnia aktualizacja :
18/03/2026
Antybiotyk   Azithromycine  
Maści
Injekcje
Stabilność preparatów farmaceutycznych Trwałość w mieszaninie Czynnik wpływający na trwałość Zgodność Bibliografia pdf
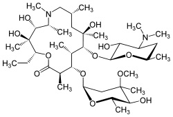
   Struktura chemiczna  

Maści
Zgodność   Maści   Zgodność : Azithromycine              
Brak danych

  Mentions Légales