Letztes “update” :
18/03/2026
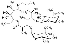
Antibiotikum   Azithromycine  
Salben
Injektion
Stabilität von pharmazeutischen Präparaten Gemengestabilität Stabilitätbeeinflussende Faktoren Kompatibilitäten Literaturverzeichnis pdf
   Chemische Struktur  

Salben
Kompatibilitäten   Salben   Kompatibilitäten : Azithromycine              
Keine Daten

  Mentions Légales