Última actualización :
18/03/2026
Antibiótico   Azithromycine  
Preparaciones tópicas
Inyectables
La estabilidad de las preparaciones farmacéuticas Estabilidad en mezcla Factores que influyen sobre la estabilidad Compatibilidades Bibliografía pdf
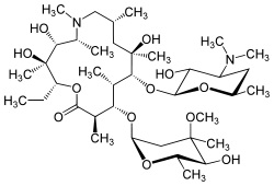
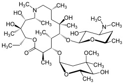
   Estructura química  

Preparaciones tópicas
Compatibilidades   Preparaciones tópicas   Compatibilidades : Azithromycine              
Ausencia de datos

  Mentions Légales