آخر تحديث :
18/03/2026
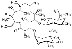
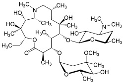
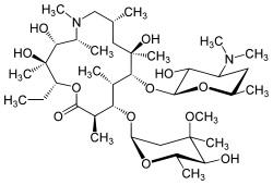
مضاد حيوي   Azithromycine  
المراهم
حقن
استقرار المستحضرات الصيدلانية استقرار مخاليط العوامل التي تؤثر على الاستقرار التوافق مراجع pdf
   التركيب الكيميائي  

المراهم
التوافق   المراهم   التوافق : Azithromycine              
لا توجد بيانات

  Mentions Légales