zadnja posodobitev :
18/03/2026
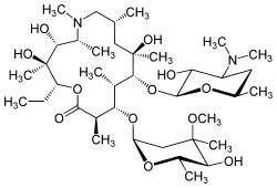
Antibiotik   Azithromycine  
Mazila
Brizgalka
Stabilnost farmacevtskih preparatov Stabilnost mešanice Faktorji, ki vplivajo na stabilnost Kompatibilnost Viri pdf
   Kemična formula  

Mazila
Kompatibilnost   Mazila   Kompatibilnost : Azithromycine              
ni podatka

  Mentions Légales