Ostatnia aktualizacja :
18/03/2026
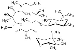
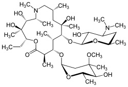
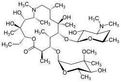
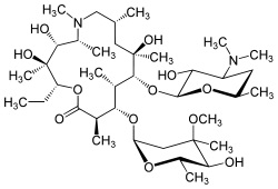
Antybiotyk   Azithromycine  
Maści
Injekcje
Stabilność preparatów farmaceutycznych Trwałość w mieszaninie Czynnik wpływający na trwałość Zgodność Bibliografia pdf
   Struktura chemiczna  

Maści
Stabilność preparatów farmaceutycznych   Maści   Stabilność preparatów farmaceutycznych : Azithromycine     
Pojemnik Origine Substancja pomocniczna Temperatura Przechowywanie Czas trwania stabilności Bibliografia
Brak informacji Fiolka 500 mg
Zithromax
Etanol 60% >> 25 mL
25°C Przy świetle lub w ciemności
182 Dzień
2894


  Mentions Légales